🇳🇴 🇬🇧 🇩🇪 🇨🇿 🇫🇮

Meteor, poloha: Hønefoss 2024-11-13 02:15:22 UTC

Soubor KML  |  InteraktivnĂ­ mapa

Mapa zobrazuje dráhy meteoru. Světlejší čáry ukazují směry od pozorovacích stanic při objevení se meteoru a tmavší čáry, kde byl naposledy viděn. Modrá šipka značí viditelnou dráhu meteoru.

static map
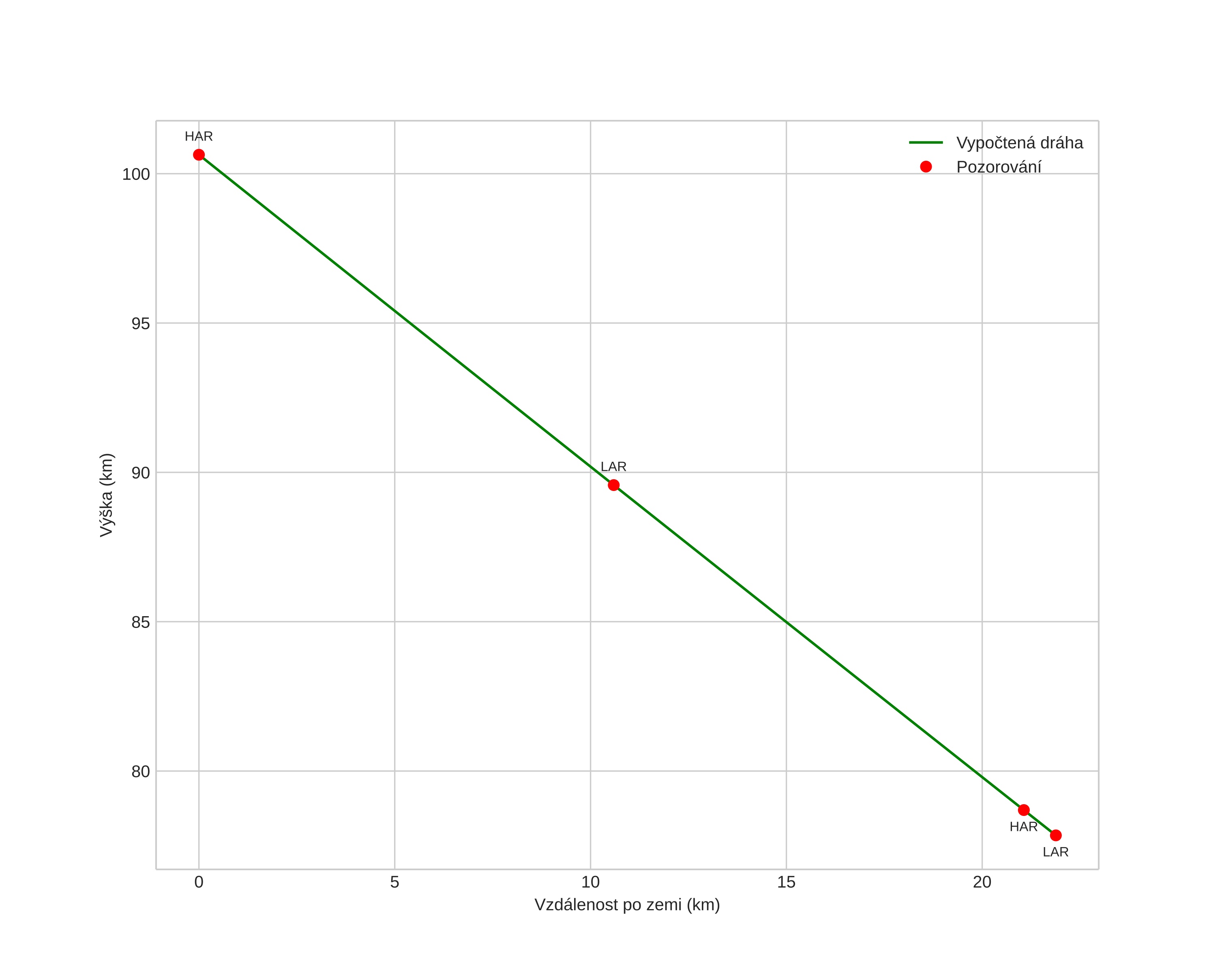
height profile
Atmosférická dráha meteoru:
Počáteční výška: 105,1 km
Konečná výška: 73,2 km
Počáteční poloha: 60,127N 9,640E
Konečná poloha: 60,256N 10,022E
Směr: 55,5°
Sklon: 51,3°
VstupnĂ­ rychlost: 34,6 km/s
Rektascenze radiantu: 03:53 (58,3°)
Deklinace radiantu: 28,8°
MeteorickĂ˝ roj: SevernĂ­ Tauridy
Elementy dráhy meteoroidu:
Vzdálenost v periheliu: 0,332 AU
Excentricita: 0,937
Sklon dráhy: 11,4°
Délka vzestupného uzlu: 230,8°
Argument perihelia: 291,9°
Střední anomálie: 356,9°
Epocha: 2024 NOV 13 02:15:22
orbit plot

NeinteraktivnĂ­ graf | InteraktivnĂ­ graf

position vs time
speed and acceleration