🇳🇴 🇬🇧 🇩🇪 🇨🇿 🇫🇮

Meteor, poloha: VĂĄgĂĄmo 2024-11-13 02:58:24 UTC

Soubor KML  |  InteraktivnĂ­ mapa

Mapa zobrazuje dráhy meteoru. Světlejší čáry ukazují směry od pozorovacích stanic při objevení se meteoru a tmavší čáry, kde byl naposledy viděn. Modrá šipka značí viditelnou dráhu meteoru.

static map
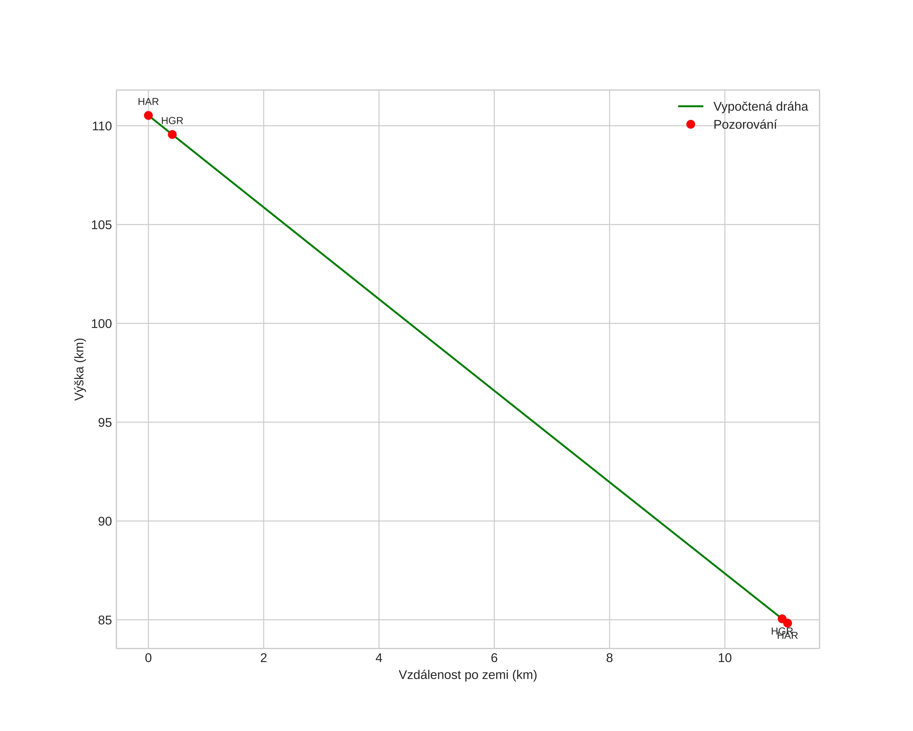
height profile
Atmosférická dráha meteoru:
Počáteční výška: 111,4 km
Konečná výška: 84,7 km
Počáteční poloha: 61,655N 9,303E
Konečná poloha: 61,610N 9,111E
Směr: 243,9°
Sklon: 67,0°
VstupnĂ­ rychlost: 60,6 km/s
Rektascenze radiantu: 10:27 (156,8°)
Deklinace radiantu: 63,2°
MeteorickĂ˝ roj: sporadickĂ˝
Elementy dráhy meteoroidu:
Vzdálenost v periheliu: 0,959 AU
Excentricita: 1,367
Sklon dráhy: 100,8°
Délka vzestupného uzlu: 230,9°
Argument perihelia: 198,9°
Střední anomálie: -2,8°
Epocha: 2024 NOV 13 02:58:24
orbit plot

NeinteraktivnĂ­ graf | InteraktivnĂ­ graf

position vs time
speed and acceleration