🇳🇴 🇬🇧 🇩🇪 🇨🇿 🇫🇮

Meteor, poloha: Björneborg 2024-11-13 04:16:40 UTC

Soubor KML  |  InteraktivnĂ­ mapa

Mapa zobrazuje dráhy meteoru. Světlejší čáry ukazují směry od pozorovacích stanic při objevení se meteoru a tmavší čáry, kde byl naposledy viděn. Modrá šipka značí viditelnou dráhu meteoru.

static map
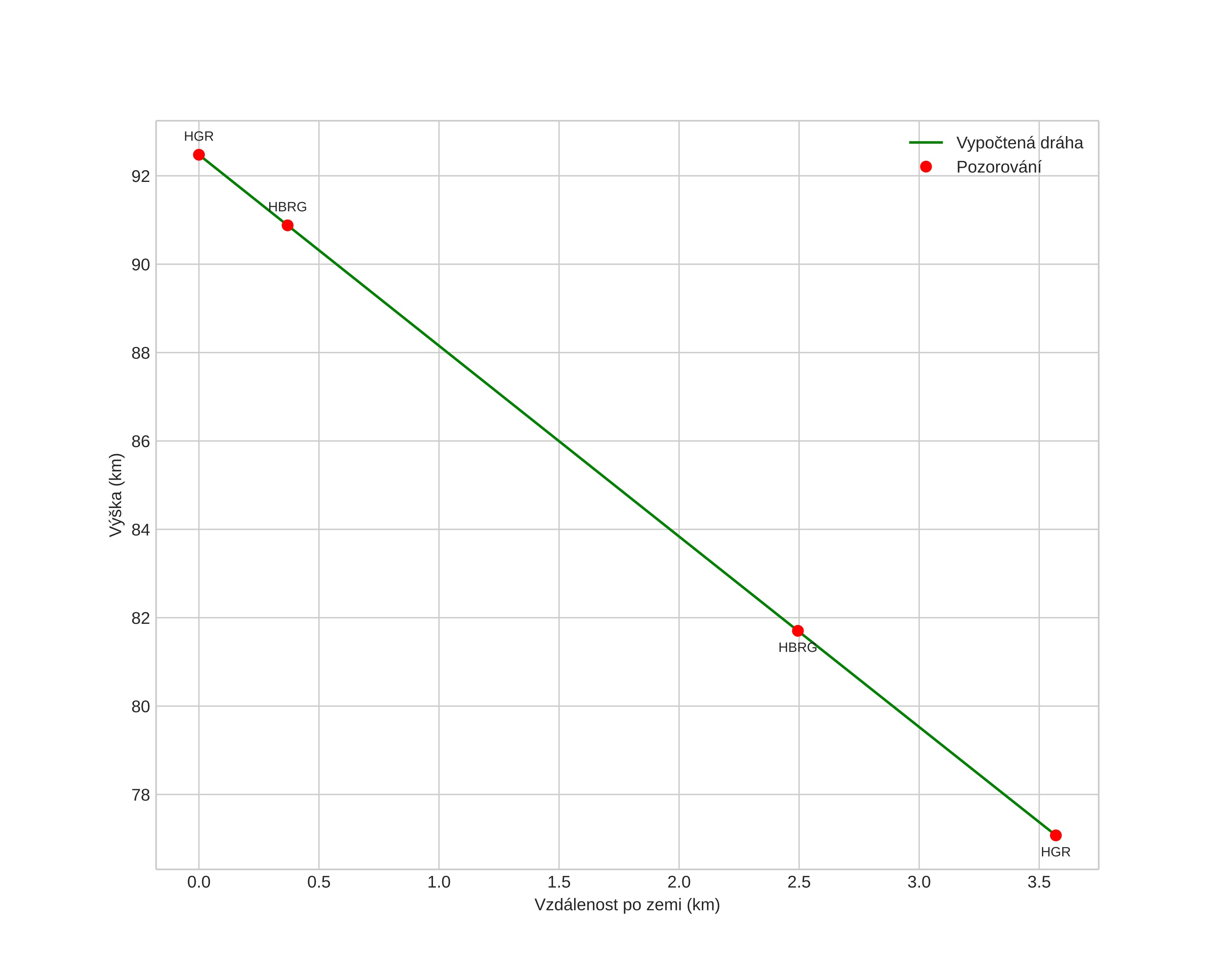
height profile
Atmosférická dráha meteoru:
Počáteční výška: 92,9 km
Konečná výška: 77,0 km
Počáteční poloha: 59,093N 14,205E
Konečná poloha: 59,120N 14,167E
Směr: 323,8°
Sklon: 76,9°
VstupnĂ­ rychlost: 73,0 km/s
Rektascenze radiantu: 09:27 (141,9°)
Deklinace radiantu: 47,8°
MeteorickĂ˝ roj: sporadickĂ˝
Elementy dráhy meteoroidu:
Vzdálenost v periheliu: 0,926 AU
Excentricita: 1,728
Sklon dráhy: 129,1°
Délka vzestupného uzlu: 230,9°
Argument perihelia: 205,9°
Střední anomálie: -10,2°
Epocha: 2024 NOV 13 04:16:40
orbit plot

NeinteraktivnĂ­ graf | InteraktivnĂ­ graf

position vs time
speed and acceleration