🇳🇴 🇬🇧 🇩🇪 🇨🇿 🇫🇮

Meteor, poloha: VĂĄler 2024-11-13 05:31:53 UTC

Soubor KML  |  InteraktivnĂ­ mapa

Mapa zobrazuje dráhy meteoru. Světlejší čáry ukazují směry od pozorovacích stanic při objevení se meteoru a tmavší čáry, kde byl naposledy viděn. Modrá šipka značí viditelnou dráhu meteoru.

static map
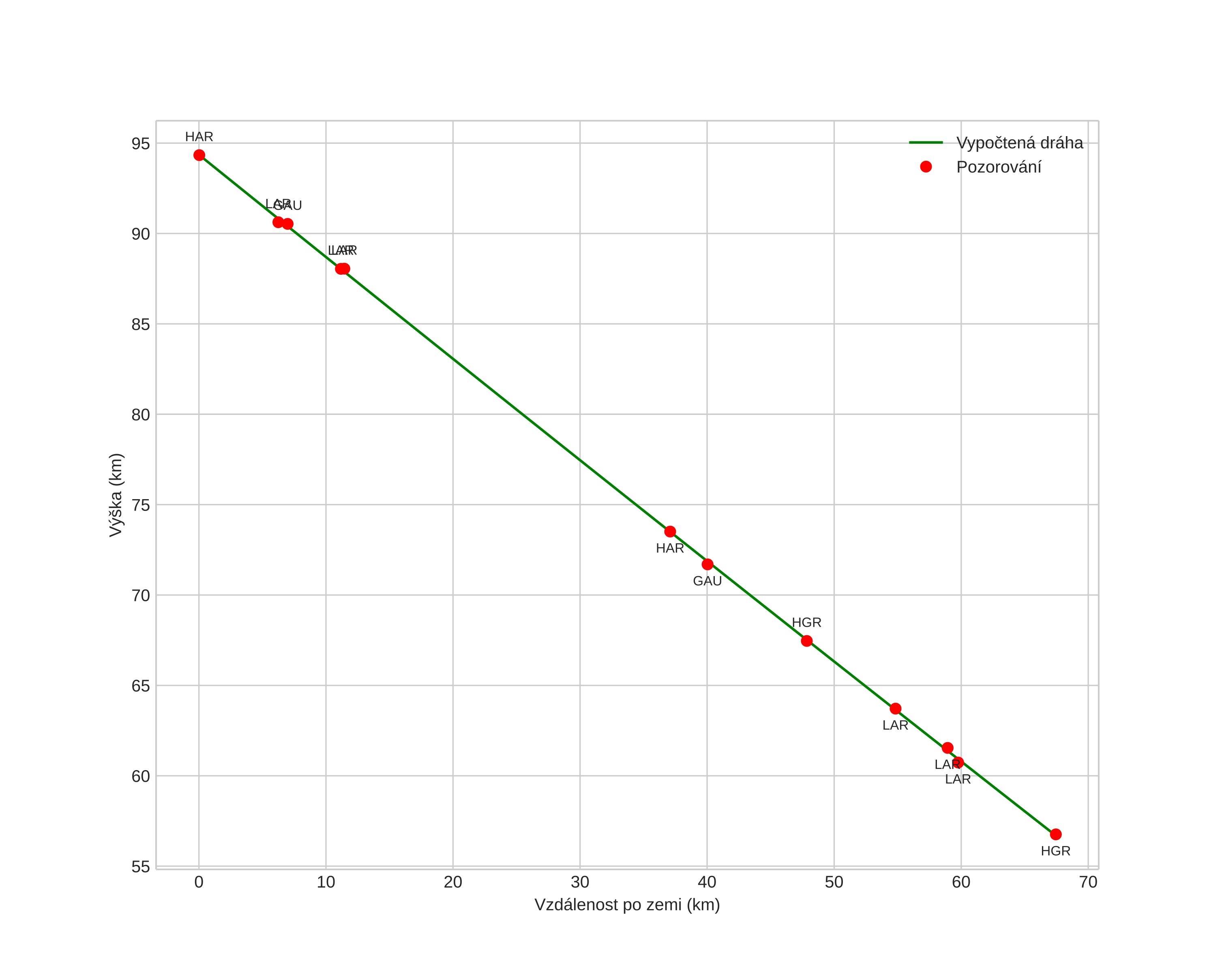
height profile
Atmosférická dráha meteoru:
Počáteční výška: 94,5 km
Konečná výška: 56,5 km
Počáteční poloha: 60,876N 10,625E
Konečná poloha: 60,970N 11,854E
Směr: 80,5°
Sklon: 29,5°
VstupnĂ­ rychlost: 41,0 km/s
Rektascenze radiantu: 05:13 (78,3°)
Deklinace radiantu: 19,8°
MeteorickĂ˝ roj: sporadickĂ˝
Elementy dráhy meteoroidu:
Vzdálenost v periheliu: 0,077 AU
Excentricita: 0,965
Sklon dráhy: 10,7°
Délka vzestupného uzlu: 51,0°
Argument perihelia: 151,3°
Střední anomálie: 350,1°
Epocha: 2024 NOV 13 05:31:53
orbit plot

NeinteraktivnĂ­ graf | InteraktivnĂ­ graf

position vs time
speed and acceleration