🇳🇴 🇬🇧 🇩🇪 🇨🇿 🇫🇮

Meteor Dokkan yllä 2024-11-13 19:21:57 UTC

KML-tiedosto  |  Interaktiivinen kartta

Kartta näyttää meteorin suuntahavainnot. Vaaleammat viivat näyttävät suunnat havaintoasemilta meteorin ilmestyessä, ja tummemmat viivat näyttävät, missä se viimeksi nähtiin. Sininen nuoli näyttää meteorin näkyvän lennon.

static map
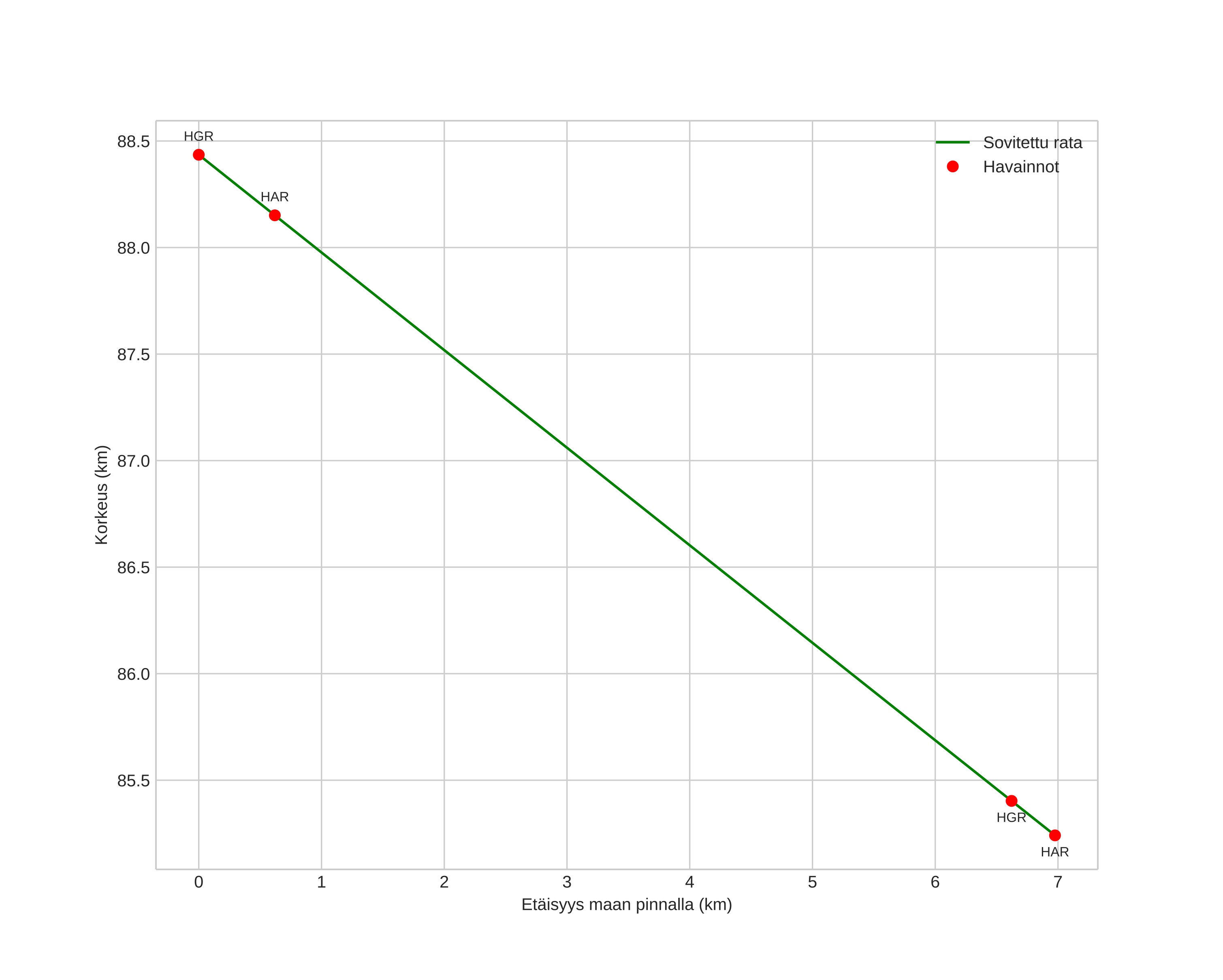
height profile
Meteorin ilmakehärata:
Alkukorkeus: 91,7 km
Loppukorkeus: 83,7 km
Alkupiste: 60,757N 10,394E
Loppupiste: 60,852N 10,138E
Suunta: 307,6°
Kallistuskulma: 24,6°
Tulonopeus: 20,8 km/s
Radiantin R,A,: 02:48 (42,2°)
Radiantin Dekl,: -0,6°
Meteoriparvi: Sporadinen
Meteoroidin rataelementit:
Perihelietäisyys: 0,749 AU
Eksentrisyys: 0,694
Inklinaatio: 8,1°
Nousevan solmun pituus: 51,6°
Perihelin argumentti: 65,9°
Keskianomalia: 349,5°
Epookki: 2024 NOV 13 19:21:57
orbit plot

Ei-interaktiivinen kuvaaja | Interaktiivinen kuvaaja

position vs time
speed and acceleration