🇳🇴 🇬🇧 🇩🇪 🇨🇿 🇫🇮

Meteor, poloha: Ă…l 2024-11-13 19:30:40 UTC

Soubor KML  |  InteraktivnĂ­ mapa

Mapa zobrazuje dráhy meteoru. Světlejší čáry ukazují směry od pozorovacích stanic při objevení se meteoru a tmavší čáry, kde byl naposledy viděn. Modrá šipka značí viditelnou dráhu meteoru.

static map
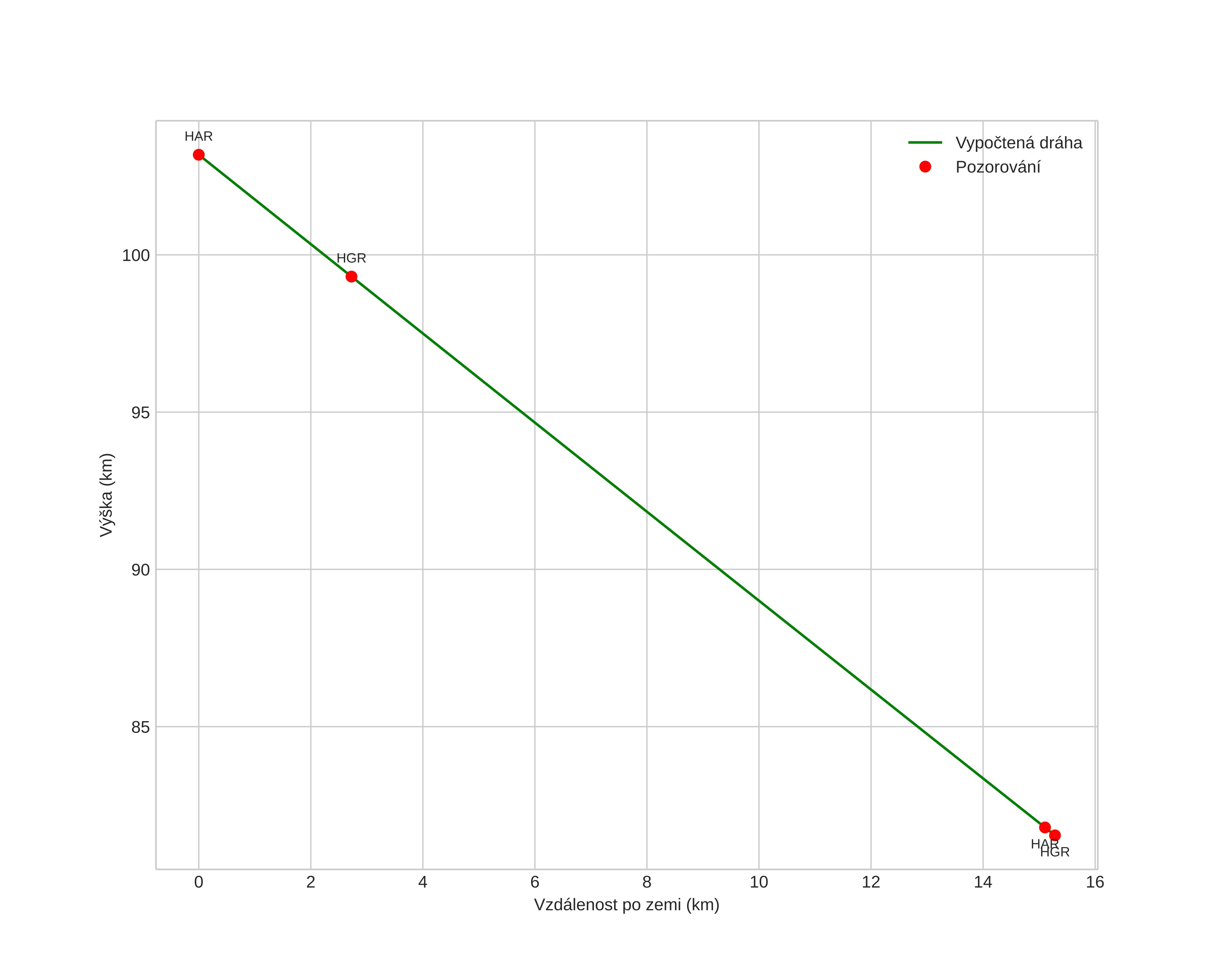
height profile
Atmosférická dráha meteoru:
Počáteční výška: 103,3 km
Konečná výška: 81,5 km
Počáteční poloha: 60,833N 8,360E
Konečná poloha: 60,714N 8,494E
Směr: 151,3°
Sklon: 55,2°
VstupnĂ­ rychlost: 33,9 km/s
Rektascenze radiantu: 16:57 (254,5°)
Deklinace radiantu: 73,0°
MeteorickĂ˝ roj: sporadickĂ˝
Elementy dráhy meteoroidu:
Vzdálenost v periheliu: 0,987 AU
Excentricita: 0,863
Sklon dráhy: 51,0°
Délka vzestupného uzlu: 231,6°
Argument perihelia: 185,8°
Střední anomálie: 359,8°
Epocha: 2024 NOV 13 19:30:40
orbit plot

NeinteraktivnĂ­ graf | InteraktivnĂ­ graf

position vs time
speed and acceleration