🇳🇴 🇬🇧 🇩🇪 🇨🇿 🇫🇮

Meteor, poloha: Malung 2024-11-13 20:19:39 UTC

Soubor KML  |  InteraktivnĂ­ mapa

Mapa zobrazuje dráhy meteoru. Světlejší čáry ukazují směry od pozorovacích stanic při objevení se meteoru a tmavší čáry, kde byl naposledy viděn. Modrá šipka značí viditelnou dráhu meteoru.

static map
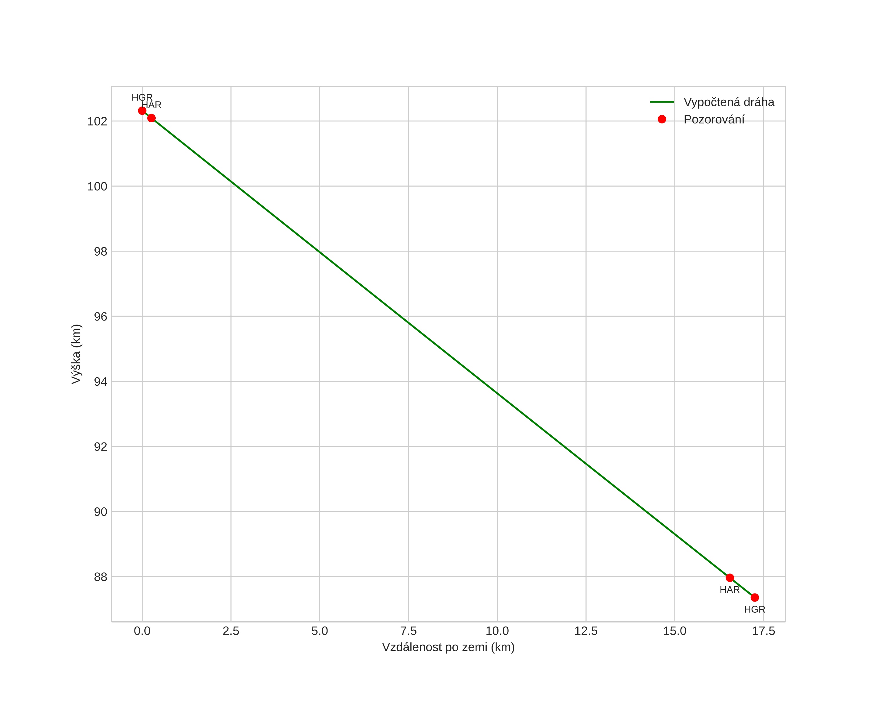
height profile
Atmosférická dráha meteoru:
Počáteční výška: 102,5 km
Konečná výška: 86,4 km
Počáteční poloha: 60,640N 13,945E
Konečná poloha: 60,497N 13,781E
Směr: 209,6°
Sklon: 41,5°
VstupnĂ­ rychlost: 57,2 km/s
Rektascenze radiantu: 09:03 (135,8°)
Deklinace radiantu: 63,6°
MeteorickĂ˝ roj: sporadickĂ˝
Elementy dráhy meteoroidu:
Vzdálenost v periheliu: 0,834 AU
Excentricita: 1,072
Sklon dráhy: 99,0°
Délka vzestupného uzlu: 231,6°
Argument perihelia: 225,9°
Střední anomálie: -0,7°
Epocha: 2024 NOV 13 20:19:39
orbit plot

NeinteraktivnĂ­ graf | InteraktivnĂ­ graf

position vs time
speed and acceleration