🇳🇴 🇬🇧 🇩🇪 🇨🇿 🇫🇮

Meteor Hovin yllä 2024-11-14 00:29:17 UTC

KML-tiedosto  |  Interaktiivinen kartta

Kartta näyttää meteorin suuntahavainnot. Vaaleammat viivat näyttävät suunnat havaintoasemilta meteorin ilmestyessä, ja tummemmat viivat näyttävät, missä se viimeksi nähtiin. Sininen nuoli näyttää meteorin näkyvän lennon.

static map
height profile
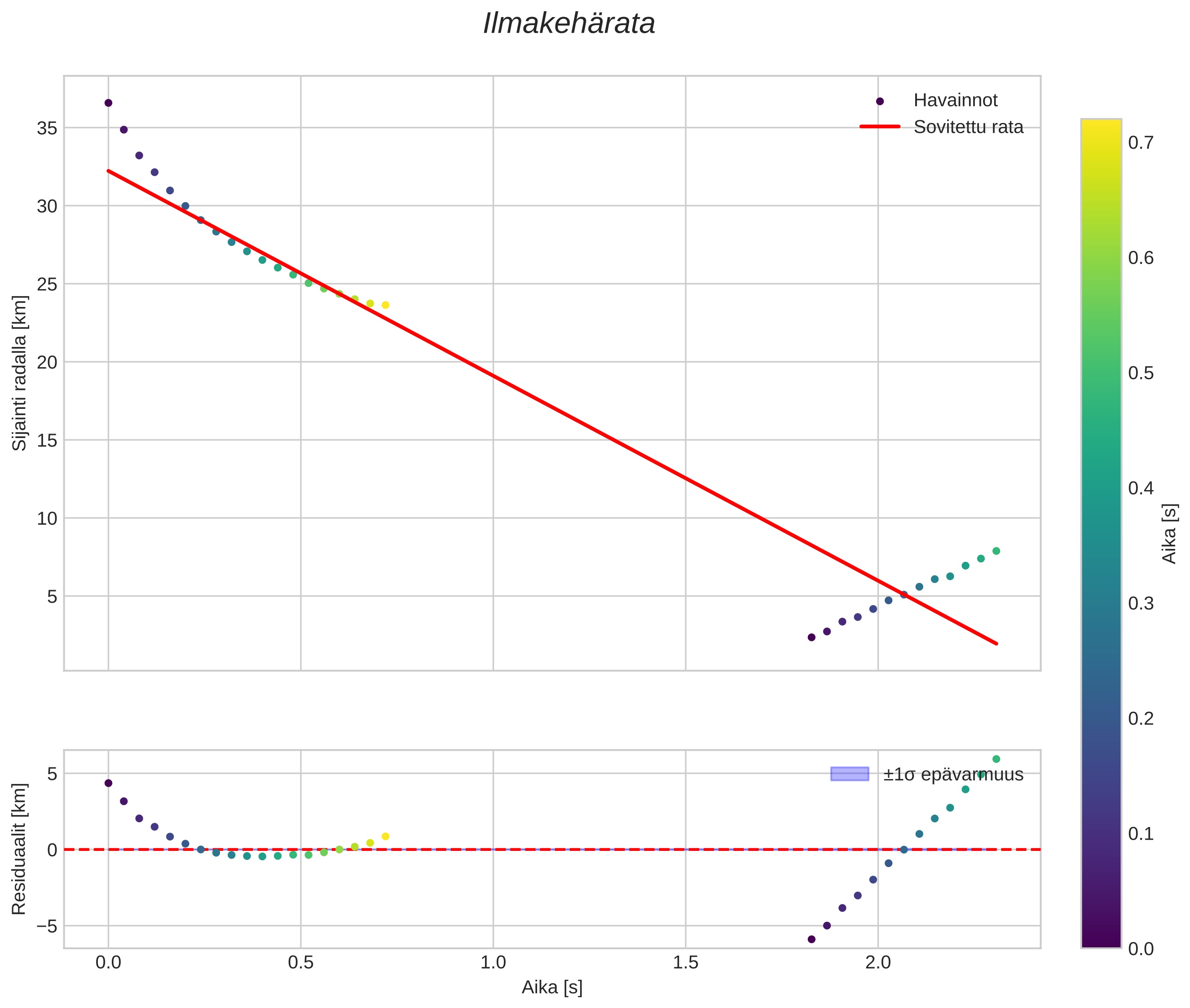
Meteorin ilmakehärata:
Alkukorkeus: 12,6 km
Loppukorkeus: -4,7 km
Alkupiste: 60,649N 10,794E
Loppupiste: 60,534N 10,236E
Suunta: 247,5°
Kallistuskulma: 27,7°
position vs time
speed and acceleration