🇳🇴 🇬🇧 🇩🇪 🇨🇿 🇫🇮

Meteor, poloha: Hamar 2024-11-14 02:43:49 UTC

Soubor KML  |  InteraktivnĂ­ mapa

Mapa zobrazuje dráhy meteoru. Světlejší čáry ukazují směry od pozorovacích stanic při objevení se meteoru a tmavší čáry, kde byl naposledy viděn. Modrá šipka značí viditelnou dráhu meteoru.

static map
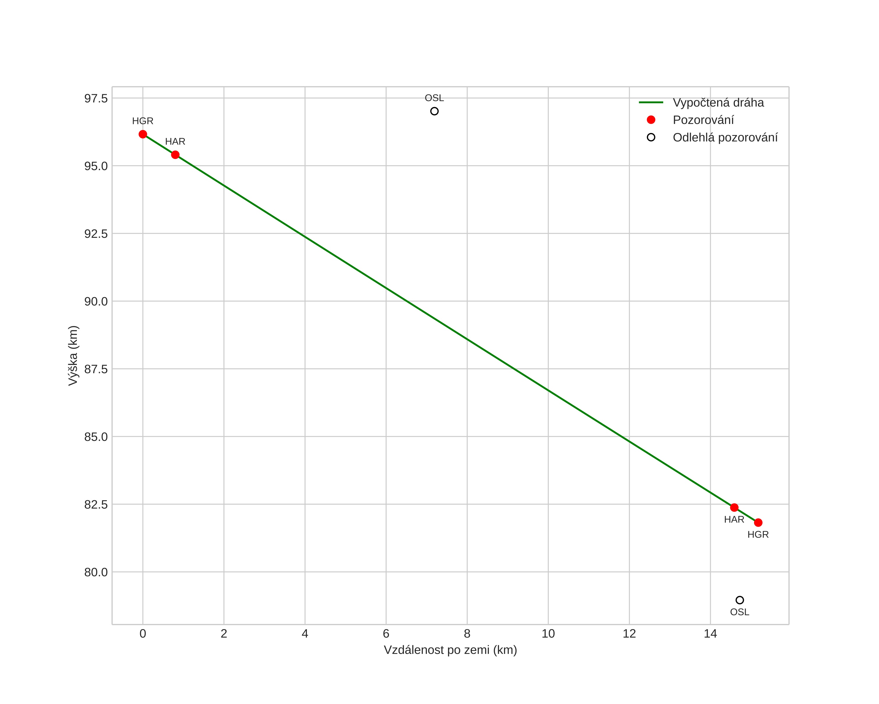
height profile
Atmosférická dráha meteoru:
Počáteční výška: 95,9 km
Konečná výška: 81,6 km
Počáteční poloha: 60,768N 10,934E
Konečná poloha: 60,839N 11,173E
Směr: 58,7°
Sklon: 43,3°
VstupnĂ­ rychlost: 30,4 km/s
Rektascenze radiantu: 04:03 (60,9°)
Deklinace radiantu: 22,7°
MeteorickĂ˝ roj: SevernĂ­ Tauridy
Elementy dráhy meteoroidu:
Vzdálenost v periheliu: 0,359 AU
Excentricita: 0,839
Sklon dráhy: 2,2°
Délka vzestupného uzlu: 231,8°
Argument perihelia: 293,4°
Střední anomálie: 347,6°
Epocha: 2024 NOV 14 02:43:49
orbit plot

NeinteraktivnĂ­ graf | InteraktivnĂ­ graf

position vs time
speed and acceleration