🇳🇴 🇬🇧 🇩🇪 🇨🇿 🇫🇮

Meteor Stangen yllä 2024-11-14 02:54:11 UTC

KML-tiedosto  |  Interaktiivinen kartta

Kartta näyttää meteorin suuntahavainnot. Vaaleammat viivat näyttävät suunnat havaintoasemilta meteorin ilmestyessä, ja tummemmat viivat näyttävät, missä se viimeksi nähtiin. Sininen nuoli näyttää meteorin näkyvän lennon.

static map
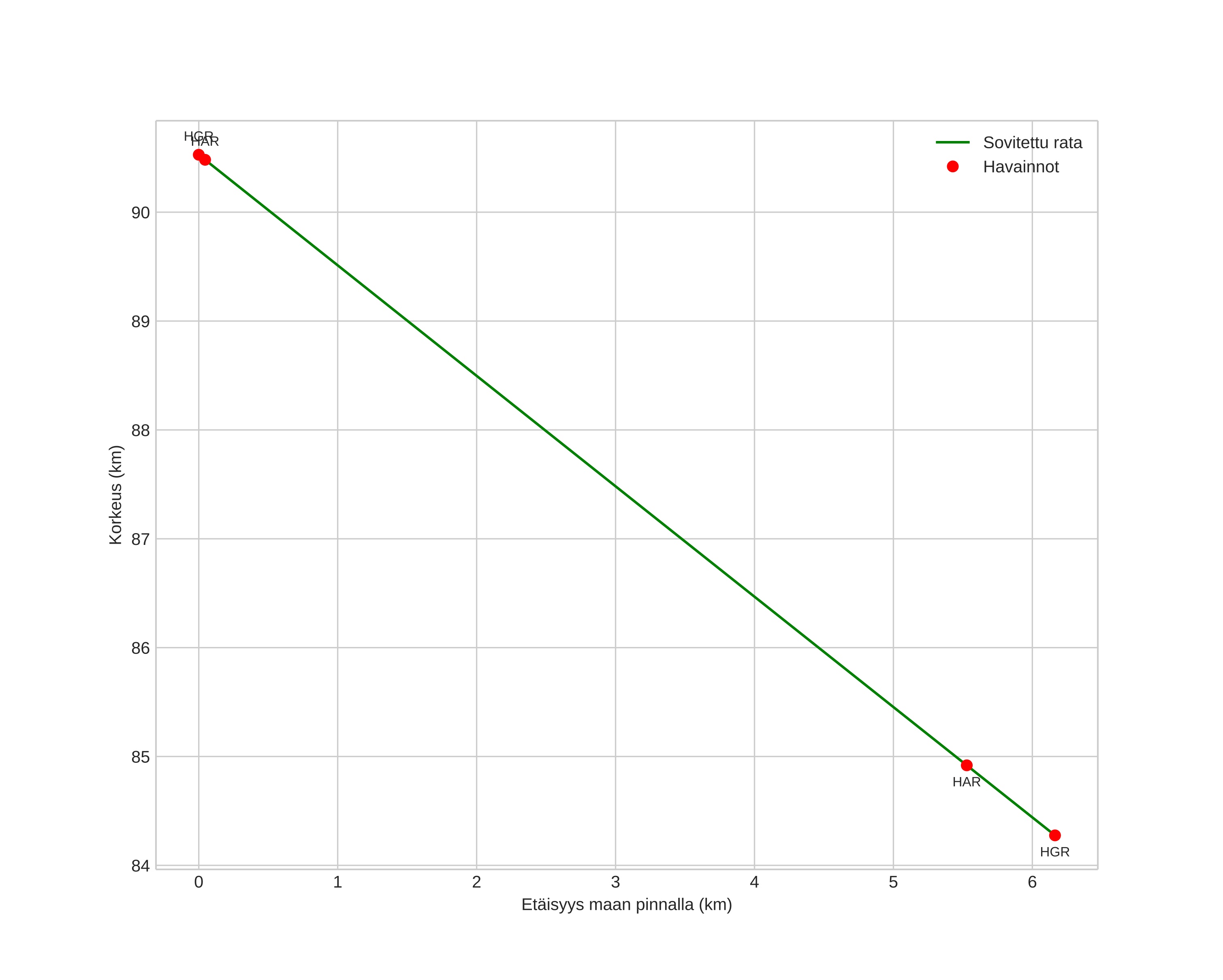
height profile
Meteorin ilmakehärata:
Alkukorkeus: 93,8 km
Loppukorkeus: 83,5 km
Alkupiste: 60,820N 11,117E
Loppupiste: 60,751N 11,253E
Suunta: 135,8°
Kallistuskulma: 44,2°
Tulonopeus: 30,9 km/s
Radiantin R,A,: 00:15 (3,9°)
Radiantin Dekl,: 57,4°
Meteoriparvi: Sporadinen
Meteoroidin rataelementit:
Perihelietäisyys: 0,847 AU
Eksentrisyys: 1,293
Inklinaatio: 31,6°
Nousevan solmun pituus: 231,9°
Perihelin argumentti: 221,8°
Keskianomalia: -4,9°
Epookki: 2024 NOV 14 02:54:11
orbit plot

Ei-interaktiivinen kuvaaja | Interaktiivinen kuvaaja

position vs time
speed and acceleration