🇳🇴 🇬🇧 🇩🇪 🇨🇿 🇫🇮

Meteor, poloha: Dokka 2024-11-14 03:54:44 UTC

Soubor KML  |  InteraktivnĂ­ mapa

Mapa zobrazuje dráhy meteoru. Světlejší čáry ukazují směry od pozorovacích stanic při objevení se meteoru a tmavší čáry, kde byl naposledy viděn. Modrá šipka značí viditelnou dráhu meteoru.

static map
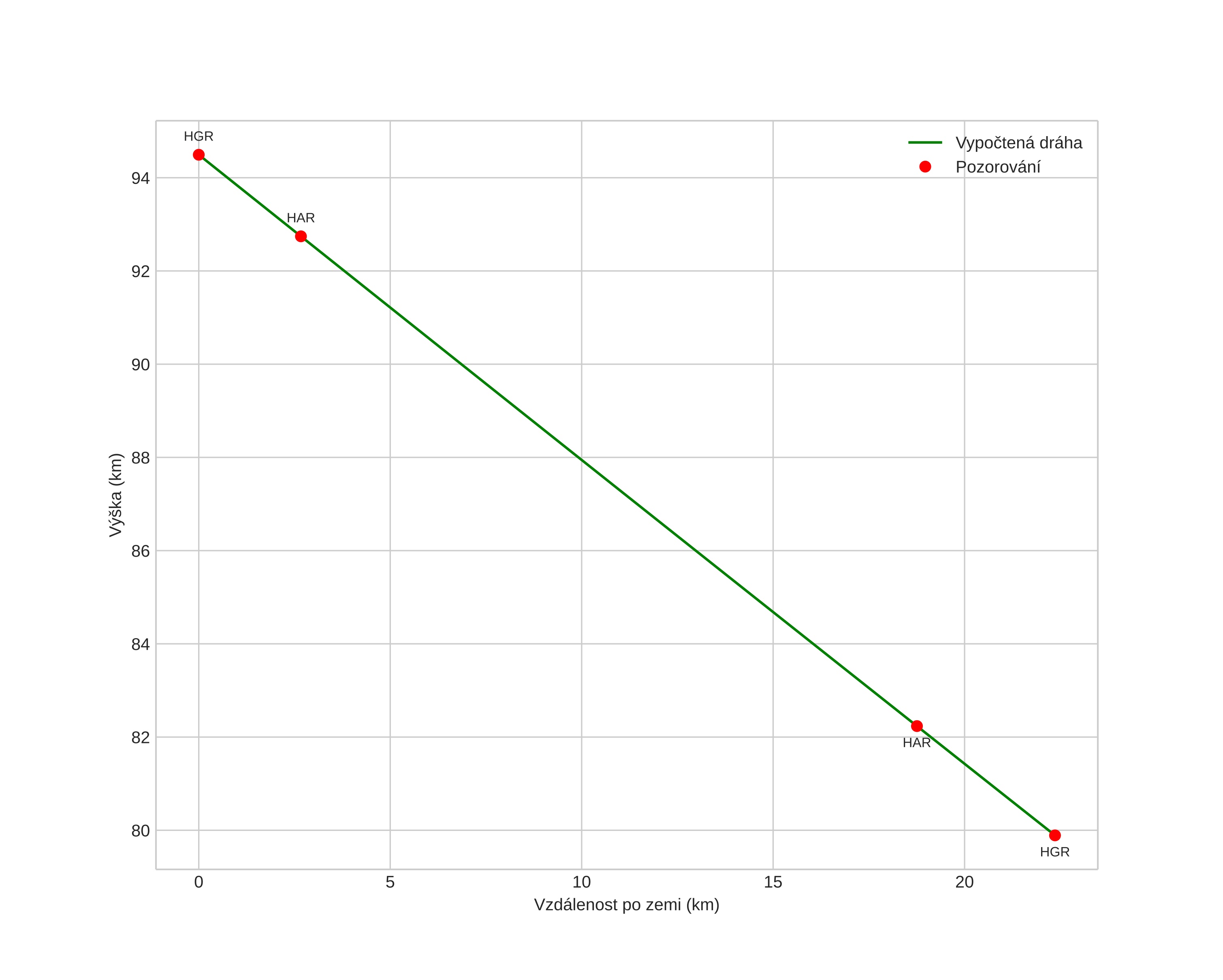
height profile
Atmosférická dráha meteoru:
Počáteční výška: 96,3 km
Konečná výška: 79,7 km
Počáteční poloha: 60,982N 9,544E
Konečná poloha: 61,030N 10,007E
Směr: 77,6°
Sklon: 33,1°
VstupnĂ­ rychlost: 29,0 km/s
Rektascenze radiantu: 03:49 (57,3°)
Deklinace radiantu: 20,6°
MeteorickĂ˝ roj: SevernĂ­ Tauridy
Elementy dráhy meteoroidu:
Vzdálenost v periheliu: 0,422 AU
Excentricita: 0,831
Sklon dráhy: 0,5°
Délka vzestupného uzlu: 231,6°
Argument perihelia: 285,6°
Střední anomálie: 349,3°
Epocha: 2024 NOV 14 03:54:44
orbit plot

NeinteraktivnĂ­ graf | InteraktivnĂ­ graf

position vs time
speed and acceleration