🇳🇴 🇬🇧 🇩🇪 🇨🇿 🇫🇮

Meteor, poloha: FinspĂĄng 2024-11-15 05:02:08 UTC

Soubor KML  |  InteraktivnĂ­ mapa

Mapa zobrazuje dráhy meteoru. Světlejší čáry ukazují směry od pozorovacích stanic při objevení se meteoru a tmavší čáry, kde byl naposledy viděn. Modrá šipka značí viditelnou dráhu meteoru.

static map
height profile
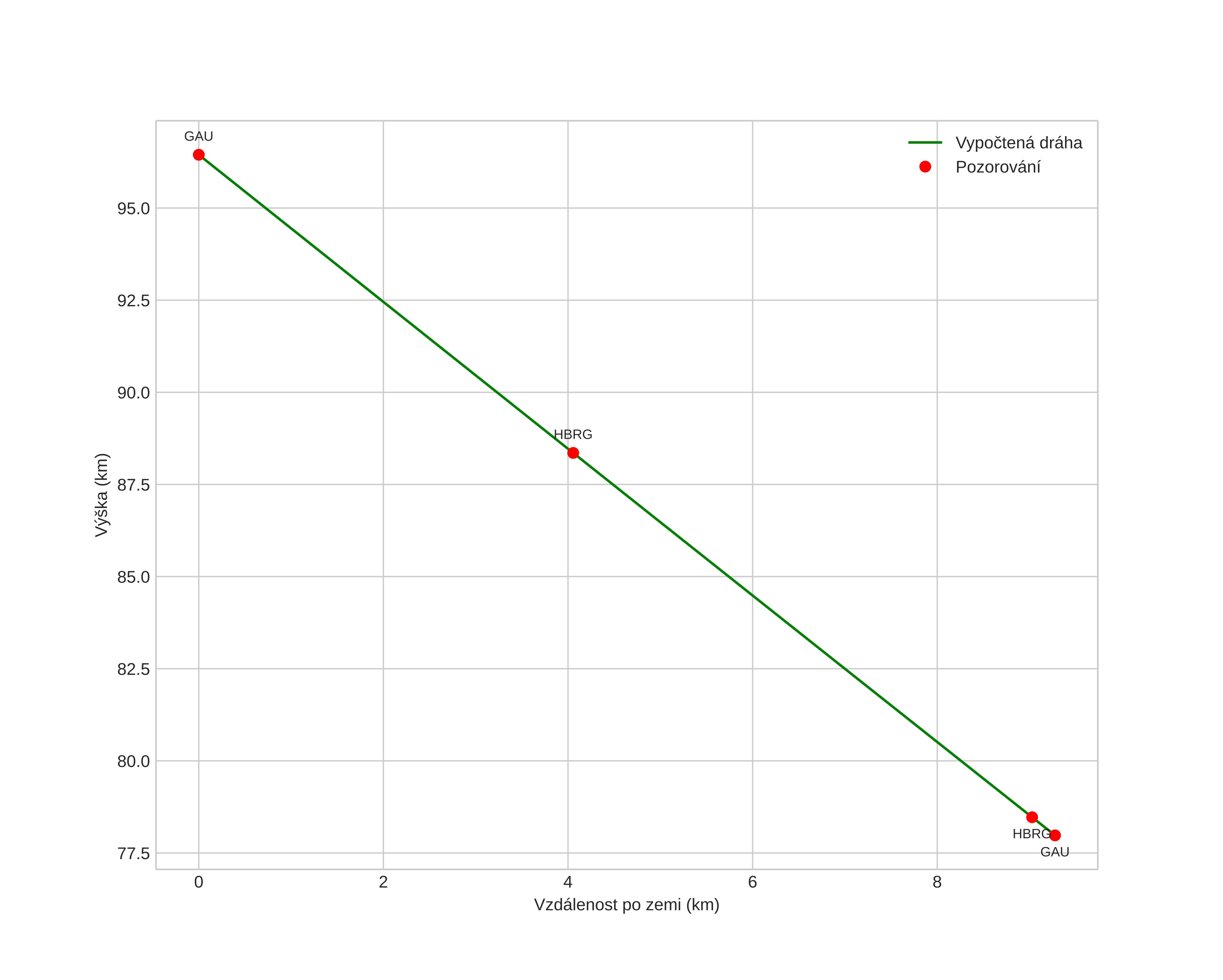
Atmosférická dráha meteoru:
Počáteční výška: 96,8 km
Konečná výška: 78,3 km
Počáteční poloha: 58,764N 15,700E
Konečná poloha: 58,726N 15,556E
Směr: 243,6°
Sklon: 63,2°
VstupnĂ­ rychlost: 50,6 km/s
Rektascenze radiantu: 13:19 (199,9°)
Deklinace radiantu: 60,2°
MeteorickĂ˝ roj: sporadickĂ˝
Elementy dráhy meteoroidu:
Vzdálenost v periheliu: 0,971 AU
Excentricita: 1,100
Sklon dráhy: 81,9°
Délka vzestupného uzlu: 233,0°
Argument perihelia: 164,9°
Střední anomálie: 0,3°
Epocha: 2024 NOV 15 05:02:08
orbit plot

NeinteraktivnĂ­ graf | InteraktivnĂ­ graf

position vs time
speed and acceleration