🇳🇴 🇬🇧 🇩🇪 🇨🇿 🇫🇮

Meteor, poloha: Frövi 2024-11-16 03:05:13 UTC

Soubor KML  |  InteraktivnĂ­ mapa

Mapa zobrazuje dráhy meteoru. Světlejší čáry ukazují směry od pozorovacích stanic při objevení se meteoru a tmavší čáry, kde byl naposledy viděn. Modrá šipka značí viditelnou dráhu meteoru.

static map
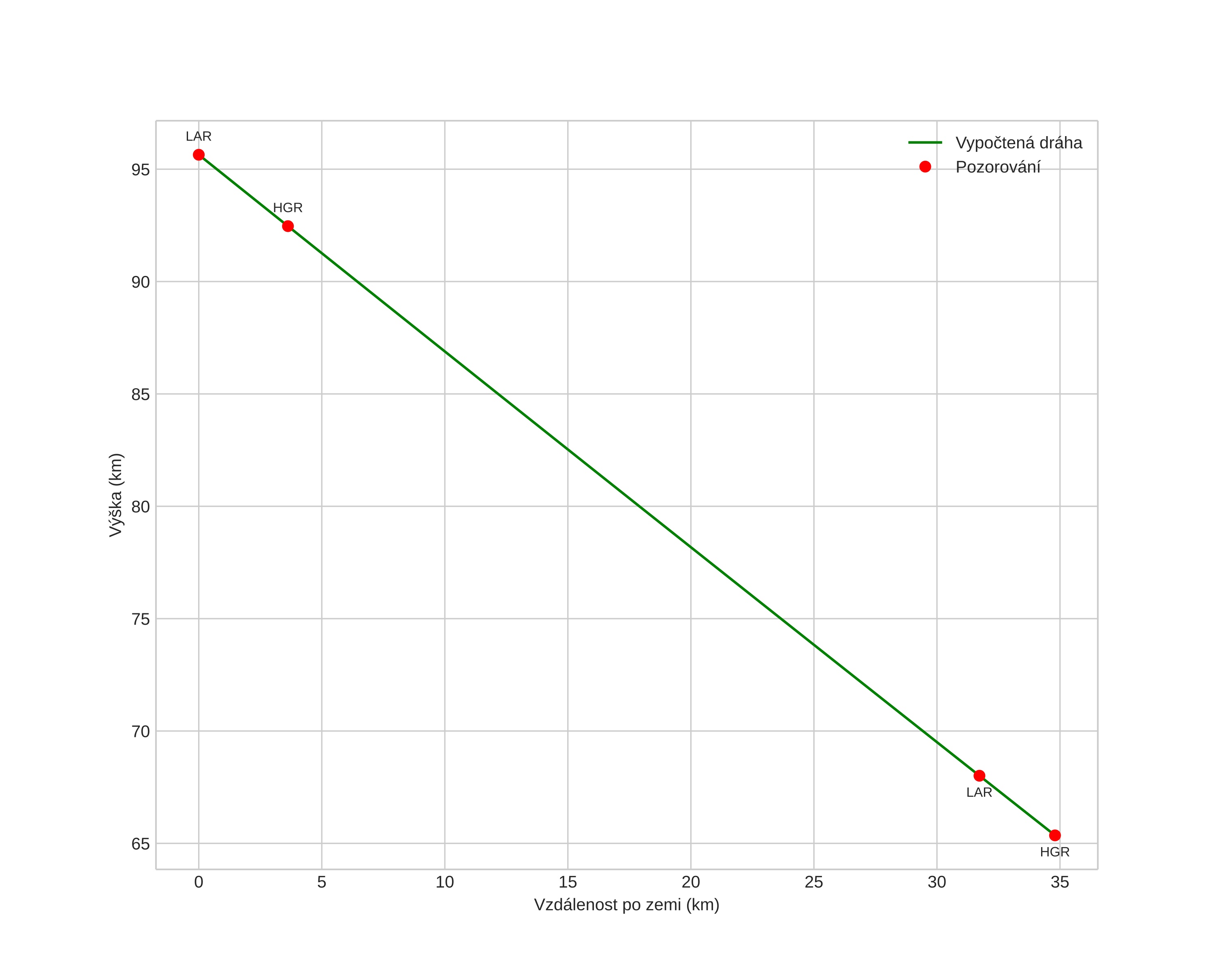
height profile
Atmosférická dráha meteoru:
Počáteční výška: 95,7 km
Konečná výška: 65,3 km
Počáteční poloha: 59,364N 14,722E
Konečná poloha: 59,474N 15,299E
Směr: 69,3°
Sklon: 41,1°
VstupnĂ­ rychlost: 29,6 km/s
Rektascenze radiantu: 04:14 (63,6°)
Deklinace radiantu: 23,5°
MeteorickĂ˝ roj: SevernĂ­ Tauridy
Elementy dráhy meteoroidu:
Vzdálenost v periheliu: 0,361 AU
Excentricita: 0,817
Sklon dráhy: 2,6°
Délka vzestupného uzlu: 233,8°
Argument perihelia: 294,4°
Střední anomálie: 344,7°
Epocha: 2024 NOV 16 03:05:13
orbit plot

NeinteraktivnĂ­ graf | InteraktivnĂ­ graf

position vs time
speed and acceleration