🇳🇴 🇬🇧 🇩🇪 🇨🇿 🇫🇮

Meteor, poloha: Årjäng 2024-11-16 18:56:32 UTC

Soubor KML  |  InteraktivnĂ­ mapa

Mapa zobrazuje dráhy meteoru. Světlejší čáry ukazují směry od pozorovacích stanic při objevení se meteoru a tmavší čáry, kde byl naposledy viděn. Modrá šipka značí viditelnou dráhu meteoru.

static map
height profile
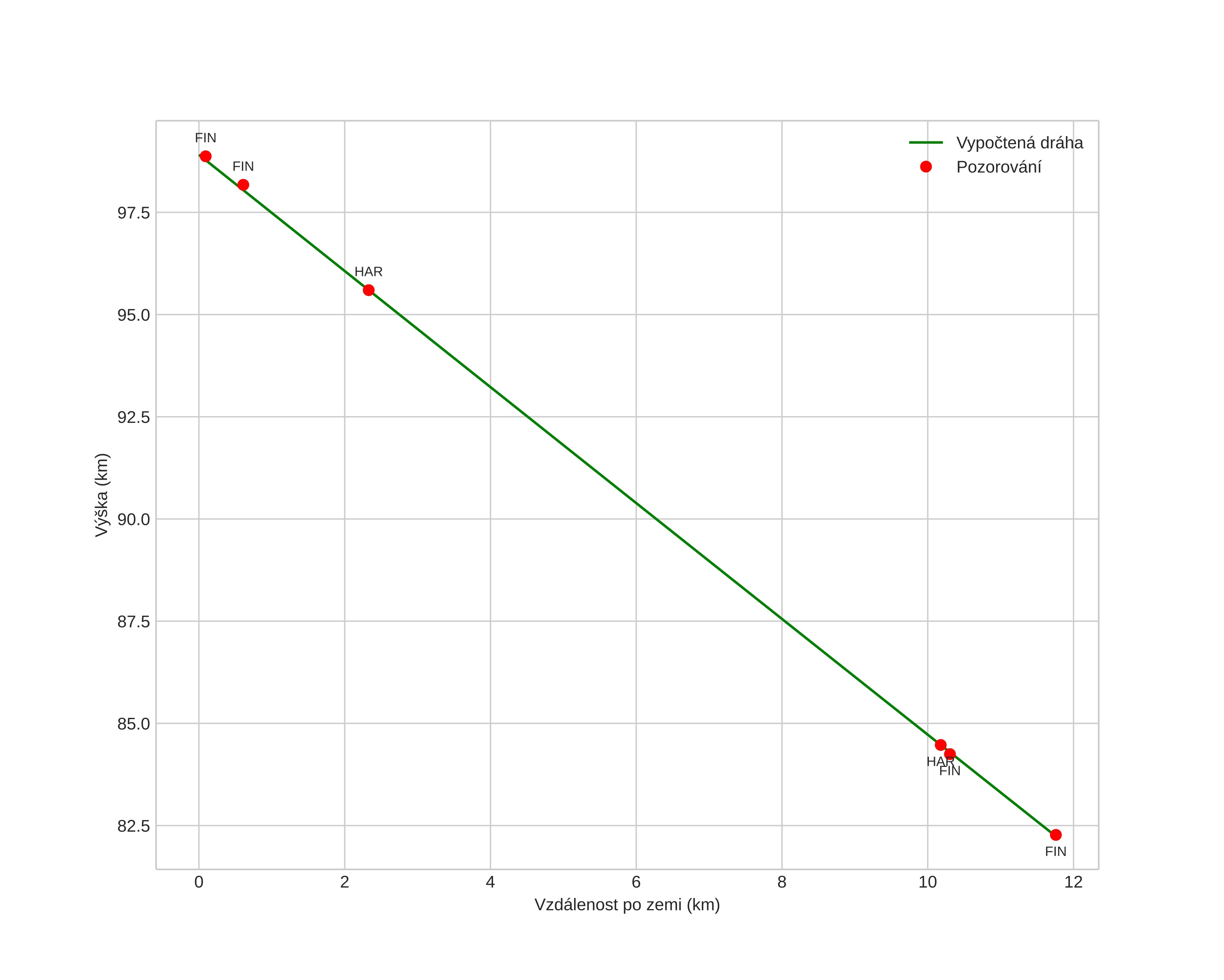
Atmosférická dráha meteoru:
Počáteční výška: 99,1 km
Konečná výška: 82,3 km
Počáteční poloha: 59,408N 12,018E
Konečná poloha: 59,325N 12,144E
Směr: 142,2°
Sklon: 55,2°
VstupnĂ­ rychlost: 27,9 km/s
Rektascenze radiantu: 17:35 (263,9°)
Deklinace radiantu: 68,2°
MeteorickĂ˝ roj: sporadickĂ˝
Elementy dráhy meteoroidu:
Vzdálenost v periheliu: 0,989 AU
Excentricita: 0,662
Sklon dráhy: 41,7°
Délka vzestupného uzlu: 234,6°
Argument perihelia: 181,6°
Střední anomálie: 359,8°
Epocha: 2024 NOV 16 18:56:32
orbit plot

NeinteraktivnĂ­ graf | InteraktivnĂ­ graf

position vs time
speed and acceleration