🇳🇴 🇬🇧 🇩🇪 🇨🇿 🇫🇮

Meteor, poloha: Reinsvoll 2024-11-16 21:08:13 UTC

Soubor KML  |  InteraktivnĂ­ mapa

Mapa zobrazuje dráhy meteoru. Světlejší čáry ukazují směry od pozorovacích stanic při objevení se meteoru a tmavší čáry, kde byl naposledy viděn. Modrá šipka značí viditelnou dráhu meteoru.

static map
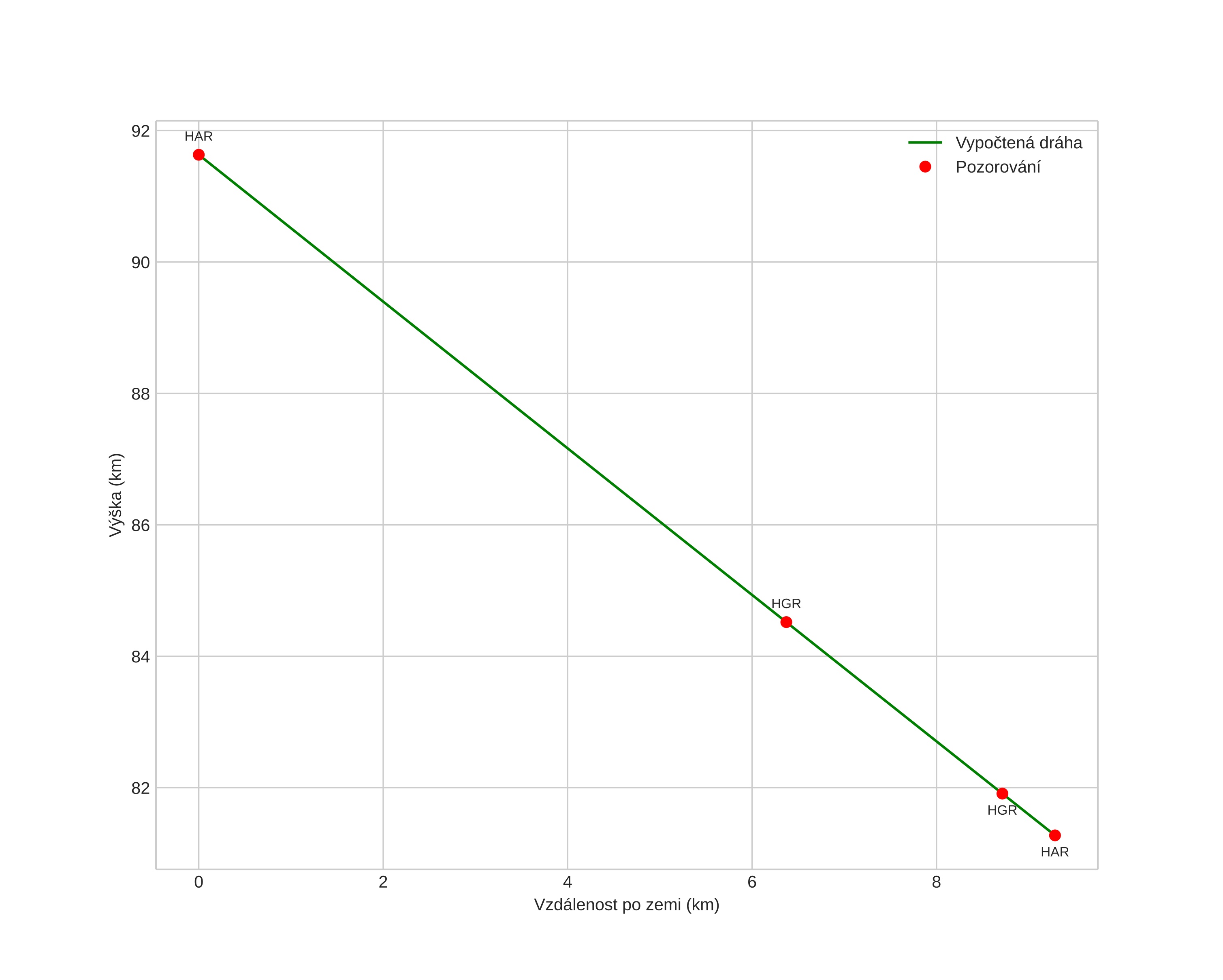
height profile
Atmosférická dráha meteoru:
Počáteční výška: 91,2 km
Konečná výška: 80,7 km
Počáteční poloha: 60,512N 10,802E
Konečná poloha: 60,565N 10,659E
Směr: 306,9°
Sklon: 47,1°
VstupnĂ­ rychlost: 32,3 km/s
Rektascenze radiantu: 04:05 (61,3°)
Deklinace radiantu: 24,6°
MeteorickĂ˝ roj: SevernĂ­ Tauridy
Elementy dráhy meteoroidu:
Vzdálenost v periheliu: 0,372 AU
Excentricita: 0,895
Sklon dráhy: 4,4°
Délka vzestupného uzlu: 234,6°
Argument perihelia: 288,8°
Střední anomálie: 354,0°
Epocha: 2024 NOV 16 21:08:13
orbit plot

NeinteraktivnĂ­ graf | InteraktivnĂ­ graf

position vs time
speed and acceleration