🇳🇴 🇬🇧 🇩🇪 🇨🇿 🇫🇮

Meteor, poloha: Koppang 2024-11-16 21:53:27 UTC

Soubor KML  |  InteraktivnĂ­ mapa

Mapa zobrazuje dráhy meteoru. Světlejší čáry ukazují směry od pozorovacích stanic při objevení se meteoru a tmavší čáry, kde byl naposledy viděn. Modrá šipka značí viditelnou dráhu meteoru.

static map
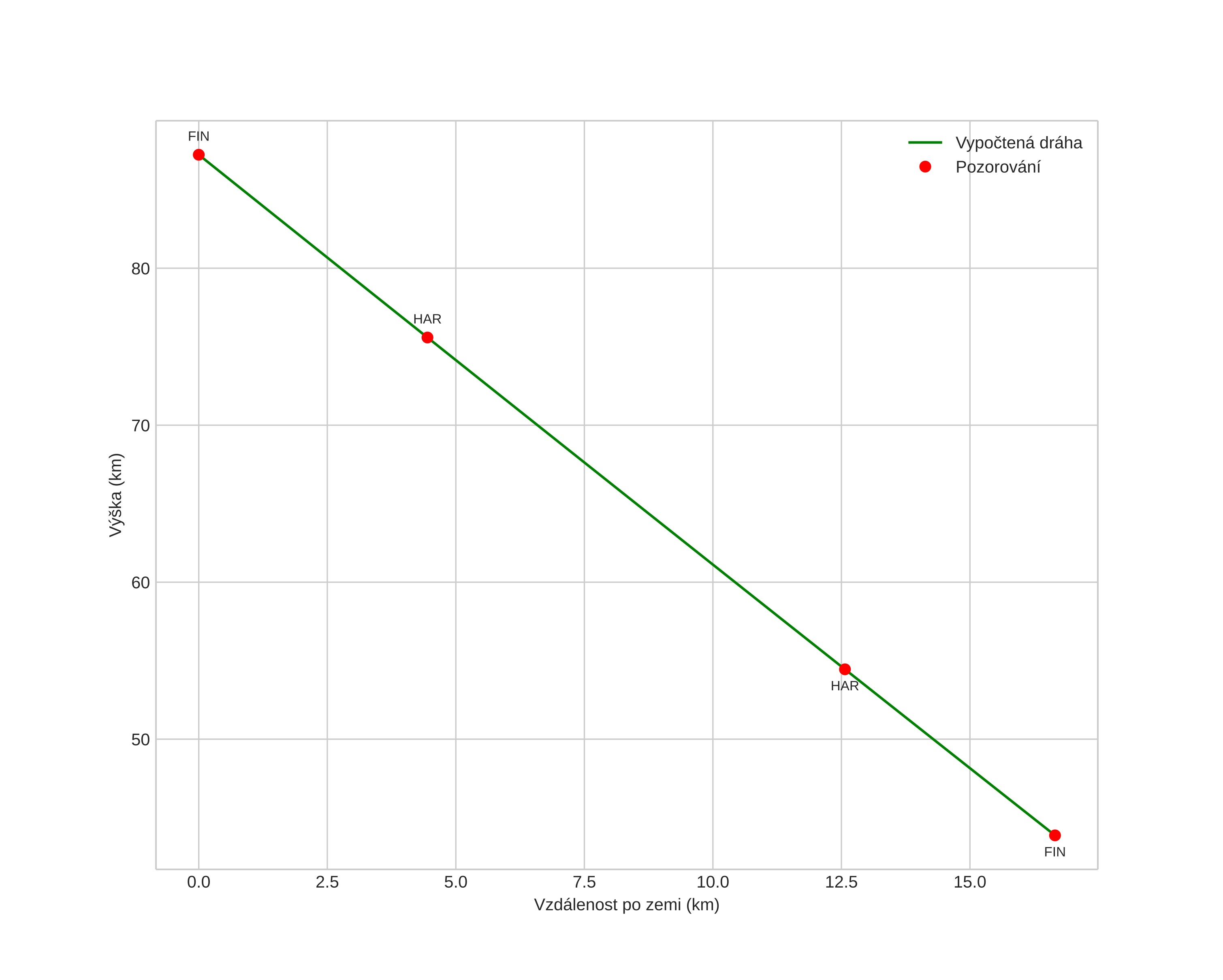
height profile
Atmosférická dráha meteoru:
Počáteční výška: 87,2 km
Konečná výška: 43,8 km
Počáteční poloha: 61,228N 10,799E
Konečná poloha: 61,352N 10,972E
Směr: 33,8°
Sklon: 69,1°
VstupnĂ­ rychlost: 20,0 km/s
Rektascenze radiantu: 01:11 (17,8°)
Deklinace radiantu: 40,4°
MeteorickĂ˝ roj: sporadickĂ˝
Elementy dráhy meteoroidu:
Vzdálenost v periheliu: 0,841 AU
Excentricita: 0,738
Sklon dráhy: 13,3°
Délka vzestupného uzlu: 234,7°
Argument perihelia: 229,5°
Střední anomálie: 354,4°
Epocha: 2024 NOV 16 21:53:27
orbit plot

NeinteraktivnĂ­ graf | InteraktivnĂ­ graf

position vs time
speed and acceleration