🇳🇴 🇬🇧 🇩🇪 🇨🇿 🇫🇮

Meteor, poloha: Hønefoss 2024-11-16 23:00:47 UTC

Soubor KML  |  InteraktivnĂ­ mapa

Mapa zobrazuje dráhy meteoru. Světlejší čáry ukazují směry od pozorovacích stanic při objevení se meteoru a tmavší čáry, kde byl naposledy viděn. Modrá šipka značí viditelnou dráhu meteoru.

static map
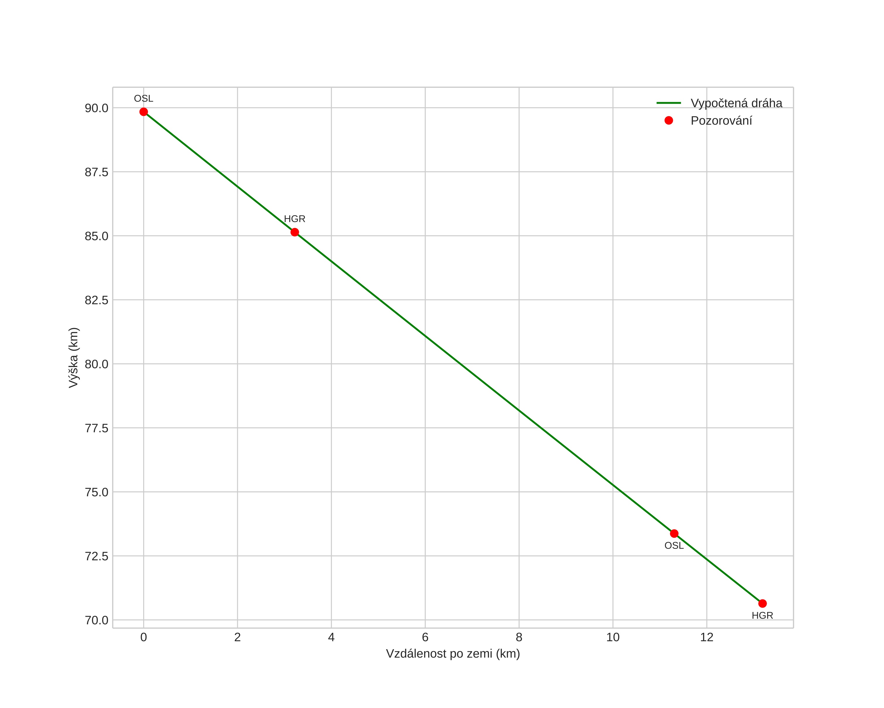
height profile
Atmosférická dráha meteoru:
Počáteční výška: 89,7 km
Konečná výška: 69,6 km
Počáteční poloha: 60,281N 10,055E
Konečná poloha: 60,401N 9,995E
Směr: 346,2°
Sklon: 55,5°
VstupnĂ­ rychlost: 26,9 km/s
Rektascenze radiantu: 03:58 (59,6°)
Deklinace radiantu: 24,5°
MeteorickĂ˝ roj: SevernĂ­ Tauridy
Elementy dráhy meteoroidu:
Vzdálenost v periheliu: 0,451 AU
Excentricita: 0,762
Sklon dráhy: 3,6°
Délka vzestupného uzlu: 234,7°
Argument perihelia: 285,0°
Střední anomálie: 342,8°
Epocha: 2024 NOV 16 23:00:47
orbit plot

NeinteraktivnĂ­ graf | InteraktivnĂ­ graf

position vs time
speed and acceleration