🇳🇴 🇬🇧 🇩🇪 🇨🇿 🇫🇮

Meteor, poloha: Charlottenberg 2024-11-16 23:36:42 UTC

Soubor KML  |  InteraktivnĂ­ mapa

Mapa zobrazuje dráhy meteoru. Světlejší čáry ukazují směry od pozorovacích stanic při objevení se meteoru a tmavší čáry, kde byl naposledy viděn. Modrá šipka značí viditelnou dráhu meteoru.

static map
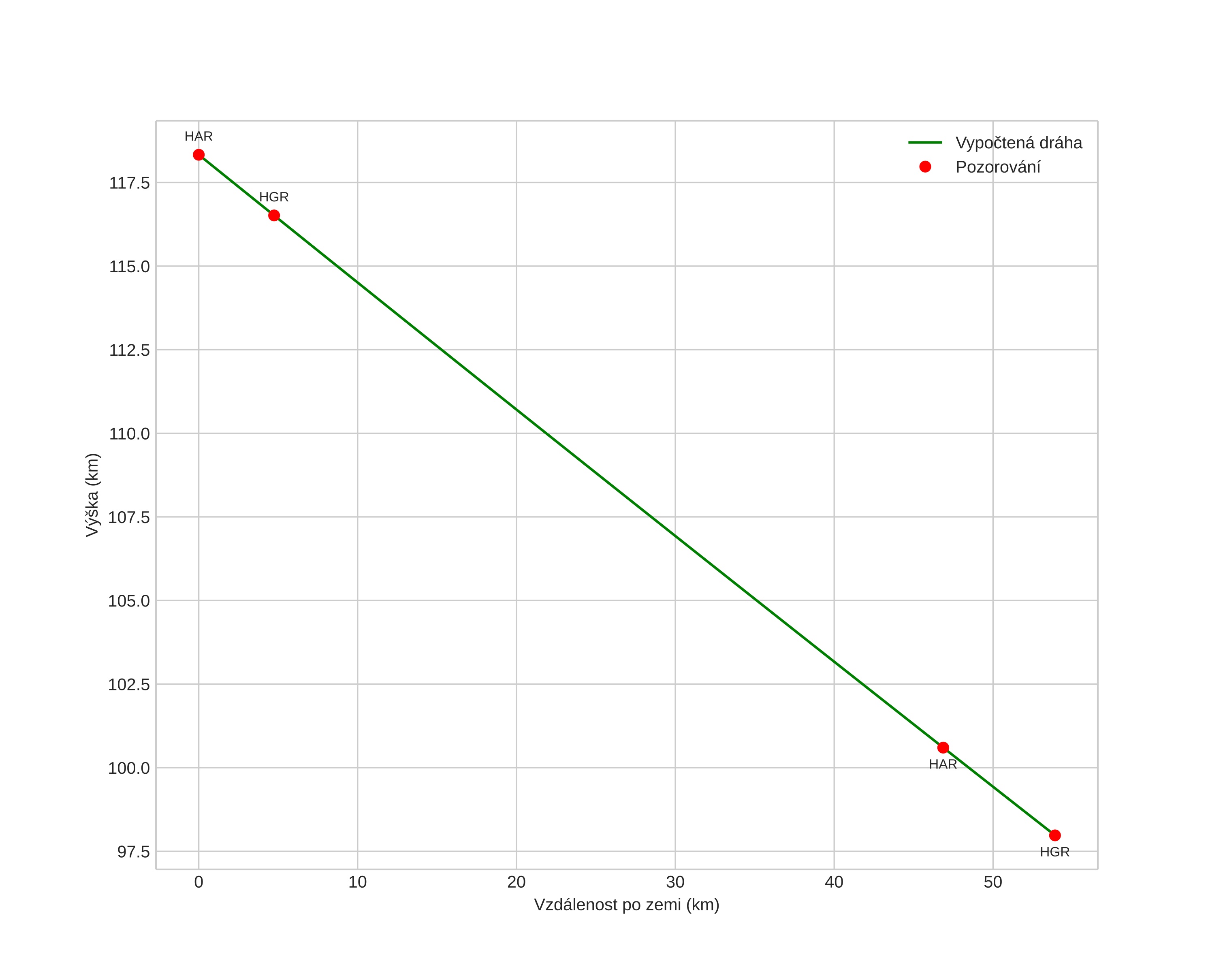
height profile
Atmosférická dráha meteoru:
Počáteční výška: 119,9 km
Konečná výška: 100,2 km
Počáteční poloha: 60,211N 13,317E
Konečná poloha: 60,118N 12,401E
Směr: 258,8°
Sklon: 20,8°
VstupnĂ­ rychlost: 57,7 km/s
Rektascenze radiantu: 10:11 (152,8°)
Deklinace radiantu: 23,1°
MeteorickĂ˝ roj: Leonidy
Elementy dráhy meteoroidu:
Vzdálenost v periheliu: 0,715 AU
Excentricita: 0,164
Sklon dráhy: 156,8°
Délka vzestupného uzlu: 234,8°
Argument perihelia: 13,7°
Střední anomálie: 161,3°
Epocha: 2024 NOV 16 23:36:42
orbit plot

NeinteraktivnĂ­ graf | InteraktivnĂ­ graf

position vs time
speed and acceleration