🇳🇴 🇬🇧 🇩🇪 🇨🇿 🇫🇮

Meteor, poloha: Innbygda 2024-11-17 00:07:37 UTC

Soubor KML  |  InteraktivnĂ­ mapa

Mapa zobrazuje dráhy meteoru. Světlejší čáry ukazují směry od pozorovacích stanic při objevení se meteoru a tmavší čáry, kde byl naposledy viděn. Modrá šipka značí viditelnou dráhu meteoru.

static map
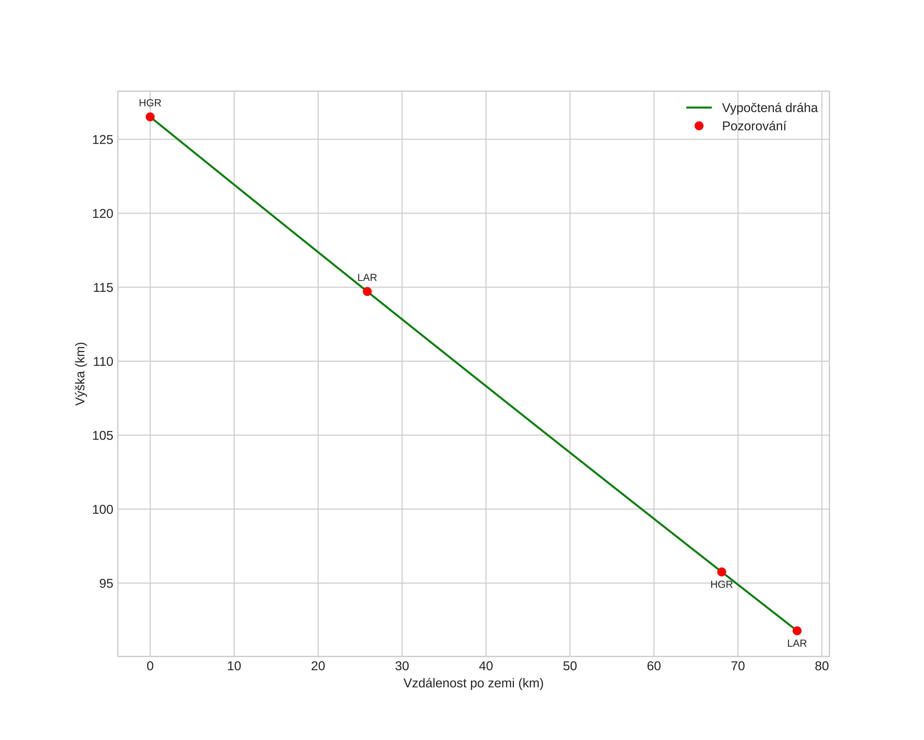
height profile
Atmosférická dráha meteoru:
Počáteční výška: 124,9 km
Konečná výška: 91,7 km
Počáteční poloha: 61,543N 13,819E
Konečná poloha: 61,492N 12,410E
Směr: 266,3°
Sklon: 23,9°
VstupnĂ­ rychlost: 61,9 km/s
Rektascenze radiantu: 10:13 (153,3°)
Deklinace radiantu: 22,2°
MeteorickĂ˝ roj: Leonidy
Elementy dráhy meteoroidu:
Vzdálenost v periheliu: 0,967 AU
Excentricita: 0,132
Sklon dráhy: 159,5°
Délka vzestupného uzlu: 234,8°
Argument perihelia: 144,2°
Střední anomálie: 27,6°
Epocha: 2024 NOV 17 00:07:37
orbit plot

NeinteraktivnĂ­ graf | InteraktivnĂ­ graf

position vs time
speed and acceleration