🇳🇴 🇬🇧 🇩🇪 🇨🇿 🇫🇮

Meteor, poloha: Geilo 2024-11-17 00:11:08 UTC

Soubor KML  |  InteraktivnĂ­ mapa

Mapa zobrazuje dráhy meteoru. Světlejší čáry ukazují směry od pozorovacích stanic při objevení se meteoru a tmavší čáry, kde byl naposledy viděn. Modrá šipka značí viditelnou dráhu meteoru.

static map
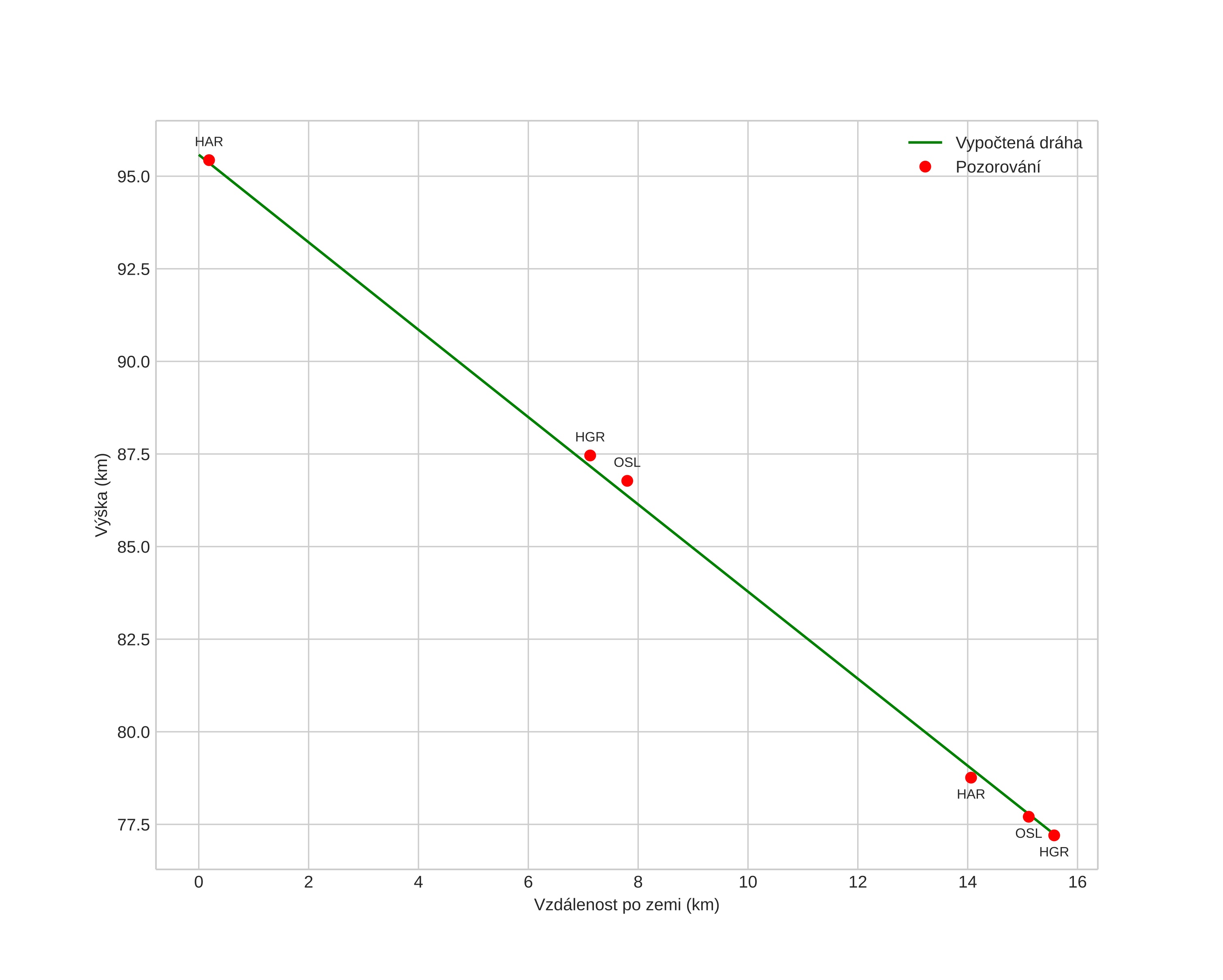
height profile
Atmosférická dráha meteoru:
Počáteční výška: 96,4 km
Konečná výška: 76,9 km
Počáteční poloha: 60,123N 8,434E
Konečná poloha: 60,264N 8,461E
Směr: 5,5°
Sklon: 51,0°
VstupnĂ­ rychlost: 31,1 km/s
Rektascenze radiantu: 04:12 (63,1°)
Deklinace radiantu: 19,7°
MeteorickĂ˝ roj: SevernĂ­ Tauridy
Elementy dráhy meteoroidu:
Vzdálenost v periheliu: 0,372 AU
Excentricita: 0,865
Sklon dráhy: 1,6°
Délka vzestupného uzlu: 54,9°
Argument perihelia: 110,1°
Střední anomálie: 351,1°
Epocha: 2024 NOV 17 00:11:08
orbit plot

NeinteraktivnĂ­ graf | InteraktivnĂ­ graf

position vs time
speed and acceleration