🇳🇴 🇬🇧 🇩🇪 🇨🇿 🇫🇮

Meteor, poloha: Stange 2024-11-17 00:59:30 UTC

Soubor KML  |  InteraktivnĂ­ mapa

Mapa zobrazuje dráhy meteoru. Světlejší čáry ukazují směry od pozorovacích stanic při objevení se meteoru a tmavší čáry, kde byl naposledy viděn. Modrá šipka značí viditelnou dráhu meteoru.

static map
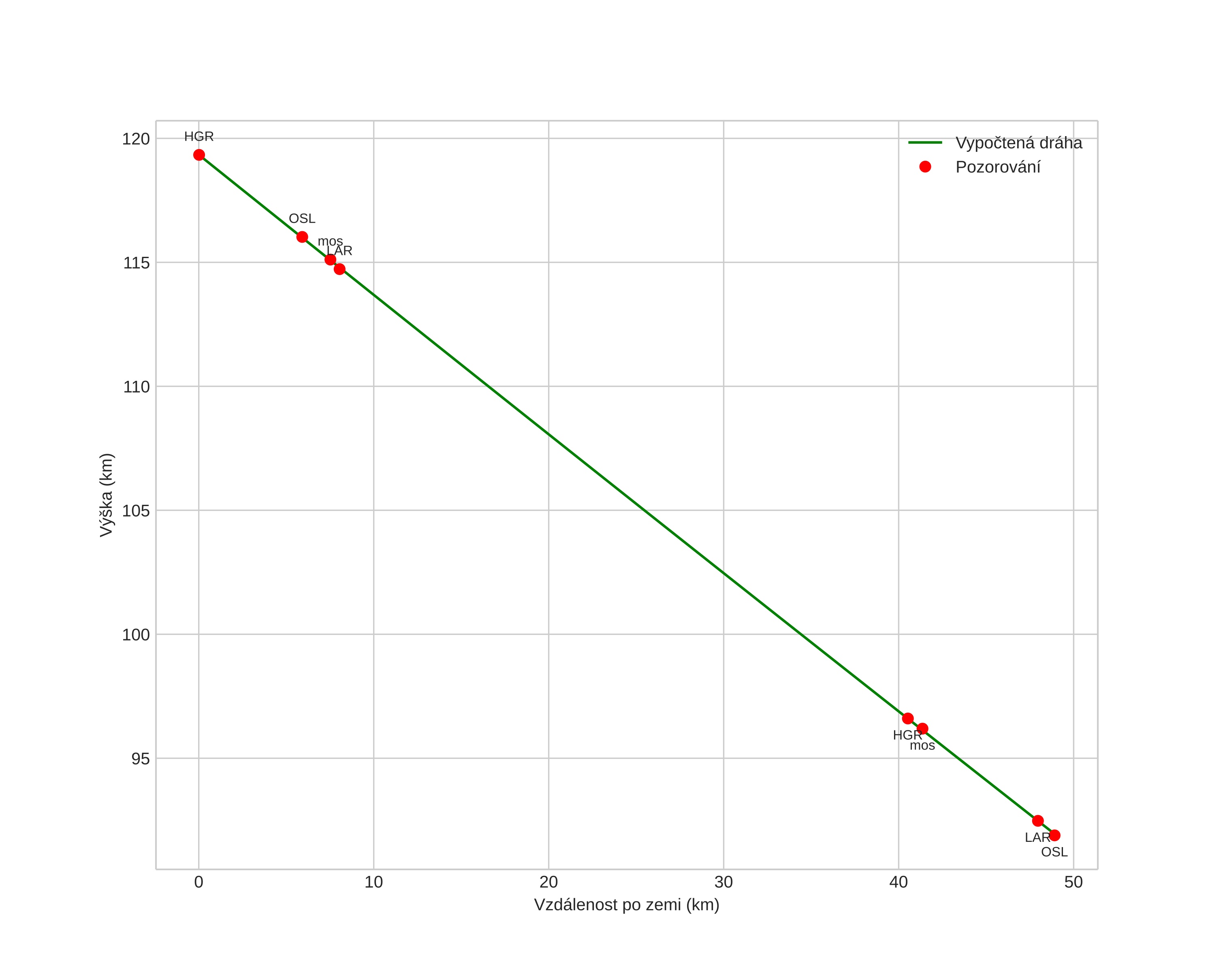
height profile
Atmosférická dráha meteoru:
Počáteční výška: 120,0 km
Konečná výška: 91,7 km
Počáteční poloha: 60,692N 12,195E
Konečná poloha: 60,731N 11,277E
Směr: 275,4°
Sklon: 29,5°
VstupnĂ­ rychlost: 61,6 km/s
Rektascenze radiantu: 10:14 (153,6°)
Deklinace radiantu: 22,6°
MeteorickĂ˝ roj: Leonidy
Elementy dráhy meteoroidu:
Vzdálenost v periheliu: 0,962 AU
Excentricita: 0,122
Sklon dráhy: 158,6°
Délka vzestupného uzlu: 234,8°
Argument perihelia: 139,1°
Střední anomálie: 32,3°
Epocha: 2024 NOV 17 00:59:30
orbit plot

NeinteraktivnĂ­ graf | InteraktivnĂ­ graf

position vs time
speed and acceleration