🇳🇴 🇬🇧 🇩🇪 🇨🇿 🇫🇮

Meteor, poloha: Trøim 2024-11-17 01:02:04 UTC

Soubor KML  |  InteraktivnĂ­ mapa

Mapa zobrazuje dráhy meteoru. Světlejší čáry ukazují směry od pozorovacích stanic při objevení se meteoru a tmavší čáry, kde byl naposledy viděn. Modrá šipka značí viditelnou dráhu meteoru.

static map
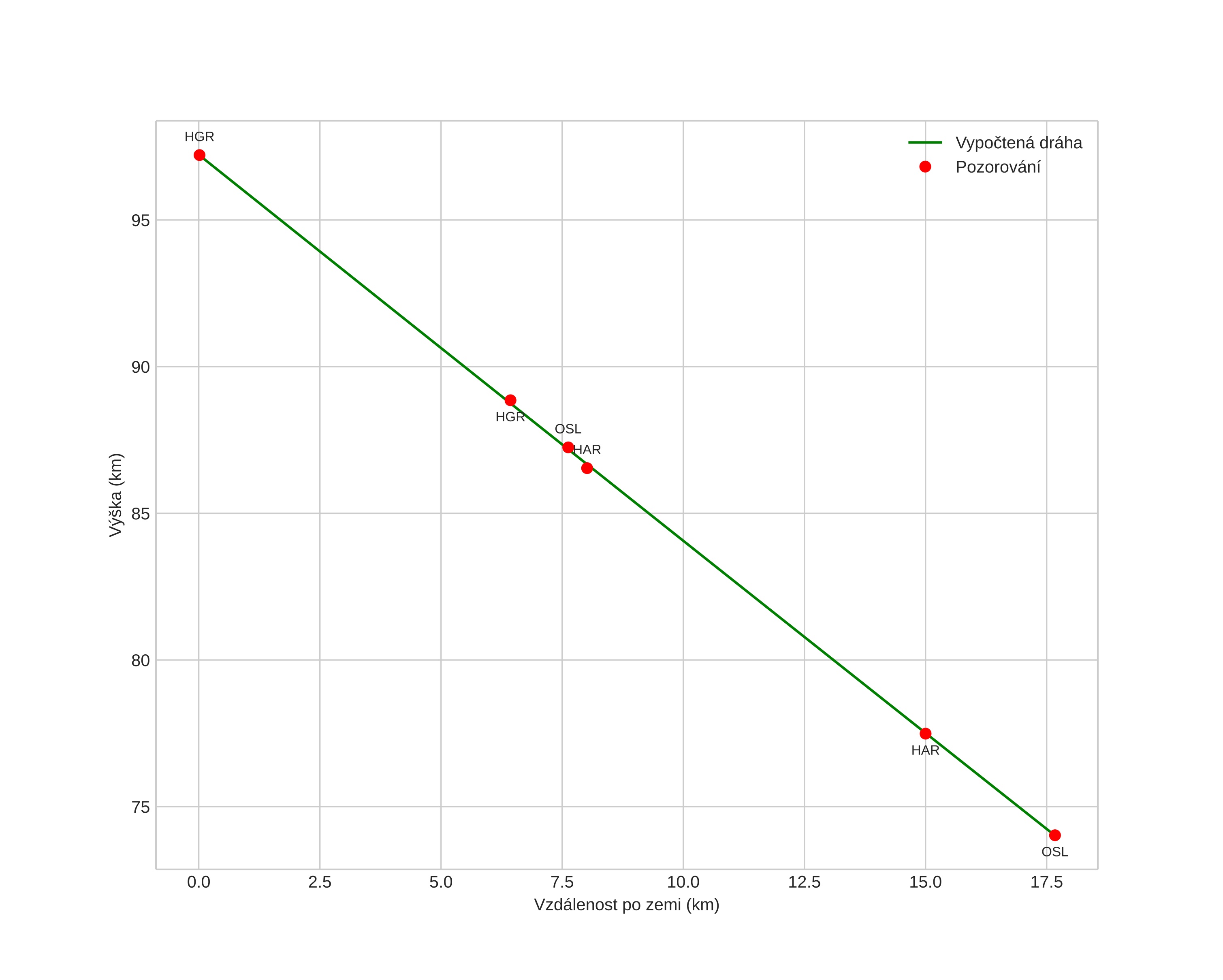
height profile
Atmosférická dráha meteoru:
Počáteční výška: 98,4 km
Konečná výška: 68,2 km
Počáteční poloha: 60,734N 8,608E
Konečná poloha: 60,930N 8,774E
Směr: 22,4°
Sklon: 51,9°
VstupnĂ­ rychlost: 30,7 km/s
Rektascenze radiantu: 04:18 (64,6°)
Deklinace radiantu: 22,5°
MeteorickĂ˝ roj: SevernĂ­ Tauridy
Elementy dráhy meteoroidu:
Vzdálenost v periheliu: 0,351 AU
Excentricita: 0,843
Sklon dráhy: 1,3°
Délka vzestupného uzlu: 234,7°
Argument perihelia: 294,4°
Střední anomálie: 347,6°
Epocha: 2024 NOV 17 01:02:04
orbit plot

NeinteraktivnĂ­ graf | InteraktivnĂ­ graf

position vs time
speed and acceleration