🇳🇴 🇬🇧 🇩🇪 🇨🇿 🇫🇮

Meteor, poloha: Heggenes 2024-11-17 01:24:59 UTC

Soubor KML  |  InteraktivnĂ­ mapa

Mapa zobrazuje dráhy meteoru. Světlejší čáry ukazují směry od pozorovacích stanic při objevení se meteoru a tmavší čáry, kde byl naposledy viděn. Modrá šipka značí viditelnou dráhu meteoru.

static map
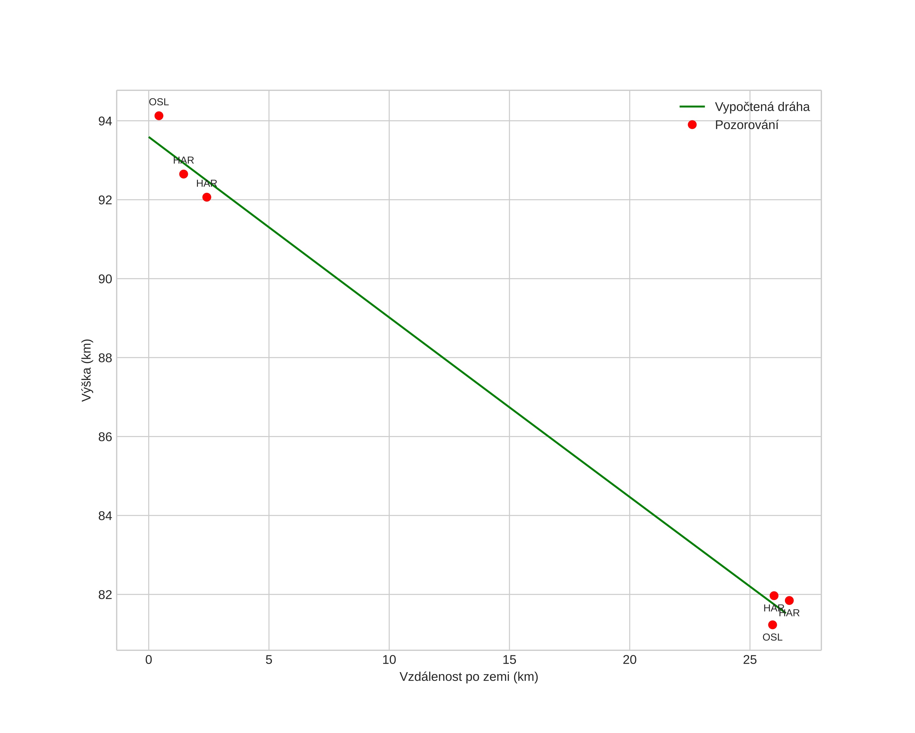
height profile
Atmosférická dráha meteoru:
Počáteční výška: 100,9 km
Konečná výška: 76,9 km
Počáteční poloha: 61,685N 9,526E
Konečná poloha: 61,488N 9,208E
Směr: 217,6°
Sklon: 41,0°
VstupnĂ­ rychlost: 42,5 km/s
Rektascenze radiantu: 13:32 (203,2°)
Deklinace radiantu: 59,1°
MeteorickĂ˝ roj: sporadickĂ˝
Elementy dráhy meteoroidu:
Vzdálenost v periheliu: 0,959 AU
Excentricita: 0,577
Sklon dráhy: 73,3°
Délka vzestupného uzlu: 234,8°
Argument perihelia: 156,5°
Střední anomálie: 5,2°
Epocha: 2024 NOV 17 01:24:59
orbit plot

NeinteraktivnĂ­ graf | InteraktivnĂ­ graf

position vs time
speed and acceleration