🇳🇴 🇬🇧 🇩🇪 🇨🇿 🇫🇮

Meteor, poloha: Hällefors 2024-11-17 01:33:54 UTC

Soubor KML  |  InteraktivnĂ­ mapa

Mapa zobrazuje dráhy meteoru. Světlejší čáry ukazují směry od pozorovacích stanic při objevení se meteoru a tmavší čáry, kde byl naposledy viděn. Modrá šipka značí viditelnou dráhu meteoru.

static map
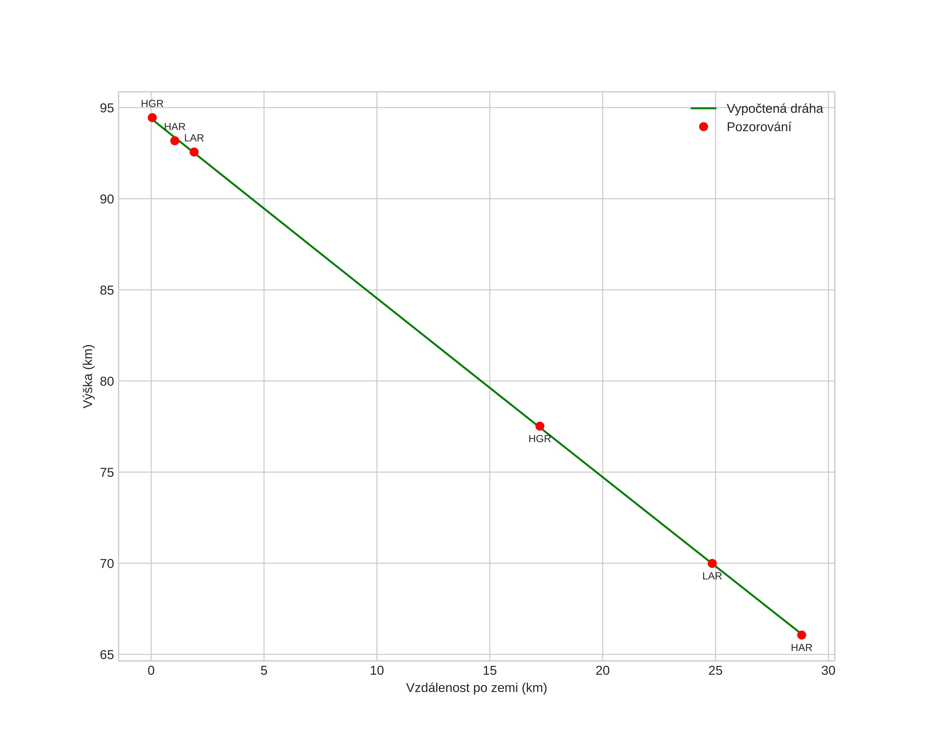
height profile
Atmosférická dráha meteoru:
Počáteční výška: 95,4 km
Konečná výška: 68,5 km
Počáteční poloha: 59,393N 14,354E
Konečná poloha: 59,631N 14,475E
Směr: 14,4°
Sklon: 44,6°
VstupnĂ­ rychlost: 41,3 km/s
Rektascenze radiantu: 05:32 (83,0°)
Deklinace radiantu: 13,6°
MeteorickĂ˝ roj: sporadickĂ˝
Elementy dráhy meteoroidu:
Vzdálenost v periheliu: 0,100 AU
Excentricita: 0,955
Sklon dráhy: 30,1°
Délka vzestupného uzlu: 54,9°
Argument perihelia: 147,2°
Střední anomálie: 350,1°
Epocha: 2024 NOV 17 01:33:54
orbit plot

NeinteraktivnĂ­ graf | InteraktivnĂ­ graf

position vs time
speed and acceleration