🇳🇴 🇬🇧 🇩🇪 🇨🇿 🇫🇮

Meteor Jevnakerin yllä 2024-11-17 03:42:17 UTC

KML-tiedosto  |  Interaktiivinen kartta

Kartta näyttää meteorin suuntahavainnot. Vaaleammat viivat näyttävät suunnat havaintoasemilta meteorin ilmestyessä, ja tummemmat viivat näyttävät, missä se viimeksi nähtiin. Sininen nuoli näyttää meteorin näkyvän lennon.

static map
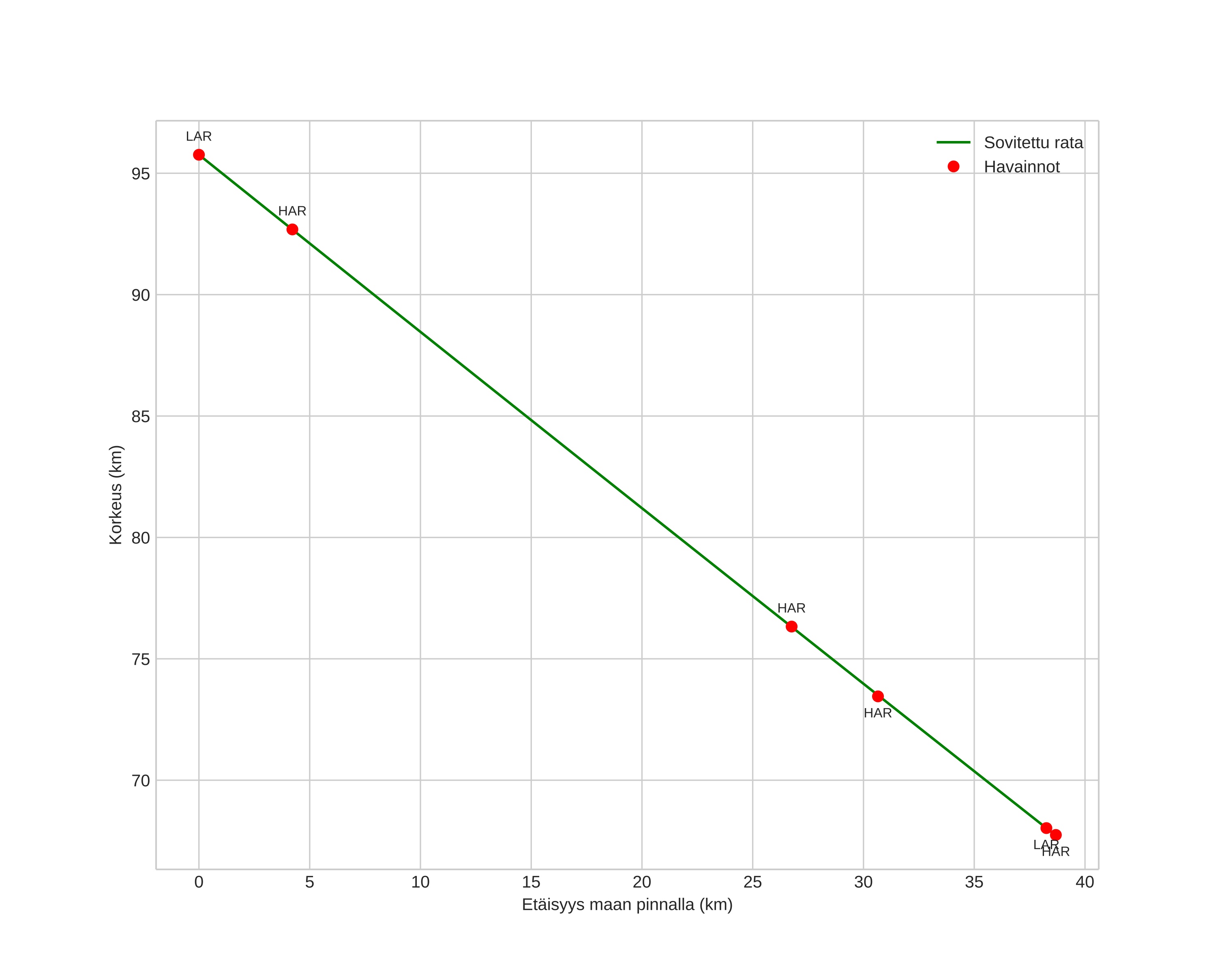
height profile
Meteorin ilmakehärata:
Alkukorkeus: 95,7 km
Loppukorkeus: 68,5 km
Alkupiste: 60,151N 9,815E
Loppupiste: 60,277N 10,460E
Suunta: 68,2°
Kallistuskulma: 35,4°
Tulonopeus: 31,7 km/s
Radiantin R,A,: 04:25 (66,5°)
Radiantin Dekl,: 18,7°
Meteoriparvi: Eteläiset tauridit
Meteoroidin rataelementit:
Perihelietäisyys: 0,328 AU
Eksentrisyys: 0,862
Inklinaatio: 3,7°
Nousevan solmun pituus: 55,0°
Perihelin argumentti: 116,2°
Keskianomalia: 349,0°
Epookki: 2024 NOV 17 03:42:17
orbit plot

Ei-interaktiivinen kuvaaja | Interaktiivinen kuvaaja

position vs time
speed and acceleration