🇳🇴 🇬🇧 🇩🇪 🇨🇿 🇫🇮

Meteor, poloha: Smögen 2024-11-17 03:52:40 UTC

Soubor KML  |  InteraktivnĂ­ mapa

Mapa zobrazuje dráhy meteoru. Světlejší čáry ukazují směry od pozorovacích stanic při objevení se meteoru a tmavší čáry, kde byl naposledy viděn. Modrá šipka značí viditelnou dráhu meteoru.

static map
height profile
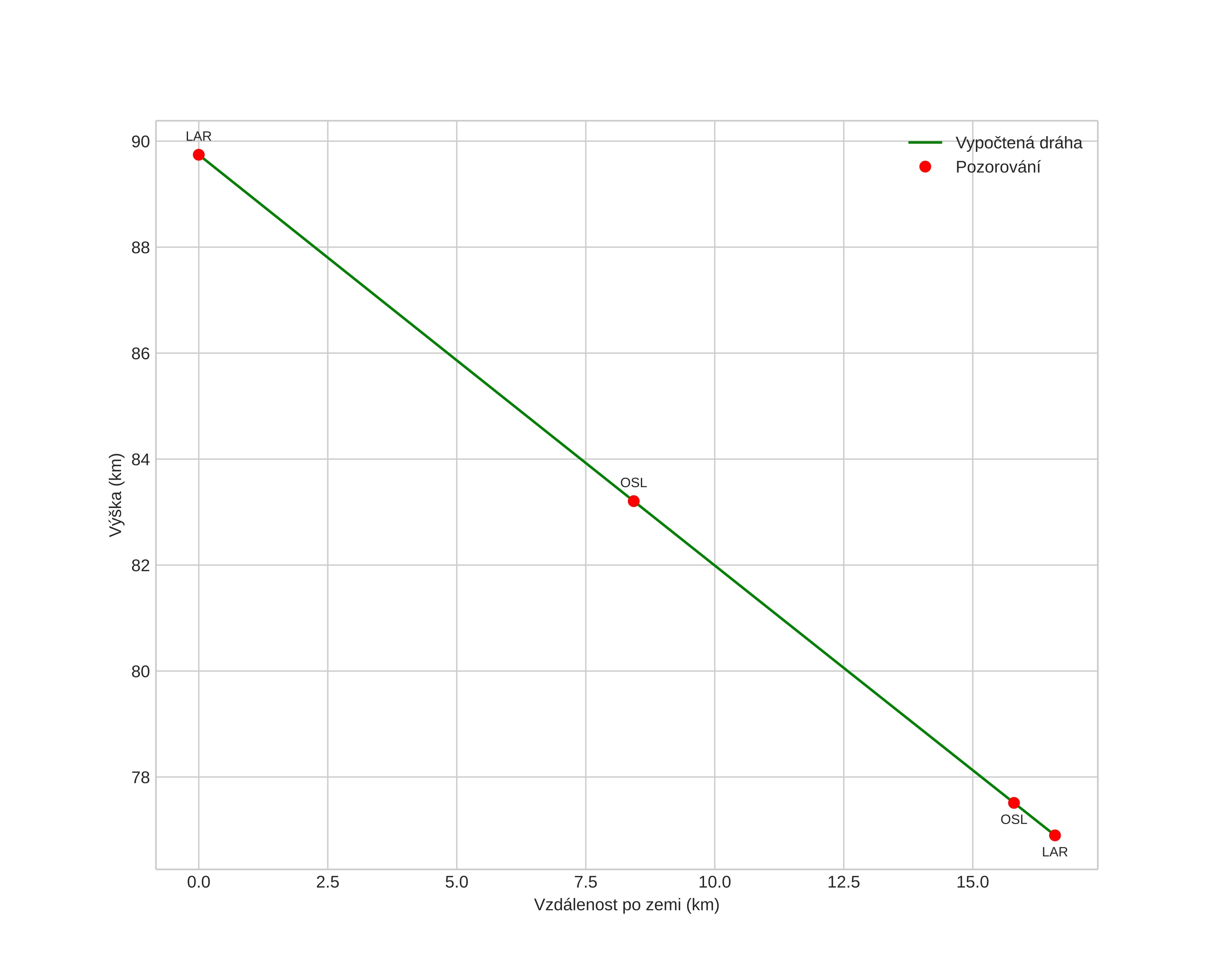
Atmosférická dráha meteoru:
Počáteční výška: 89,4 km
Konečná výška: 76,7 km
Počáteční poloha: 58,359N 10,429E
Konečná poloha: 58,387N 10,708E
Směr: 79,0°
Sklon: 37,5°
VstupnĂ­ rychlost: 29,0 km/s
Rektascenze radiantu: 04:12 (63,2°)
Deklinace radiantu: 23,9°
MeteorickĂ˝ roj: SevernĂ­ Tauridy
Elementy dráhy meteoroidu:
Vzdálenost v periheliu: 0,386 AU
Excentricita: 0,808
Sklon dráhy: 2,9°
Délka vzestupného uzlu: 234,9°
Argument perihelia: 291,4°
Střední anomálie: 345,0°
Epocha: 2024 NOV 17 03:52:40
orbit plot

NeinteraktivnĂ­ graf | InteraktivnĂ­ graf

position vs time
speed and acceleration