🇳🇴 🇬🇧 🇩🇪 🇨🇿 🇫🇮

Meteor, poloha: Sorø 2024-11-17 23:54:40 UTC

Soubor KML  |  InteraktivnĂ­ mapa

Mapa zobrazuje dráhy meteoru. Světlejší čáry ukazují směry od pozorovacích stanic při objevení se meteoru a tmavší čáry, kde byl naposledy viděn. Modrá šipka značí viditelnou dráhu meteoru.

static map
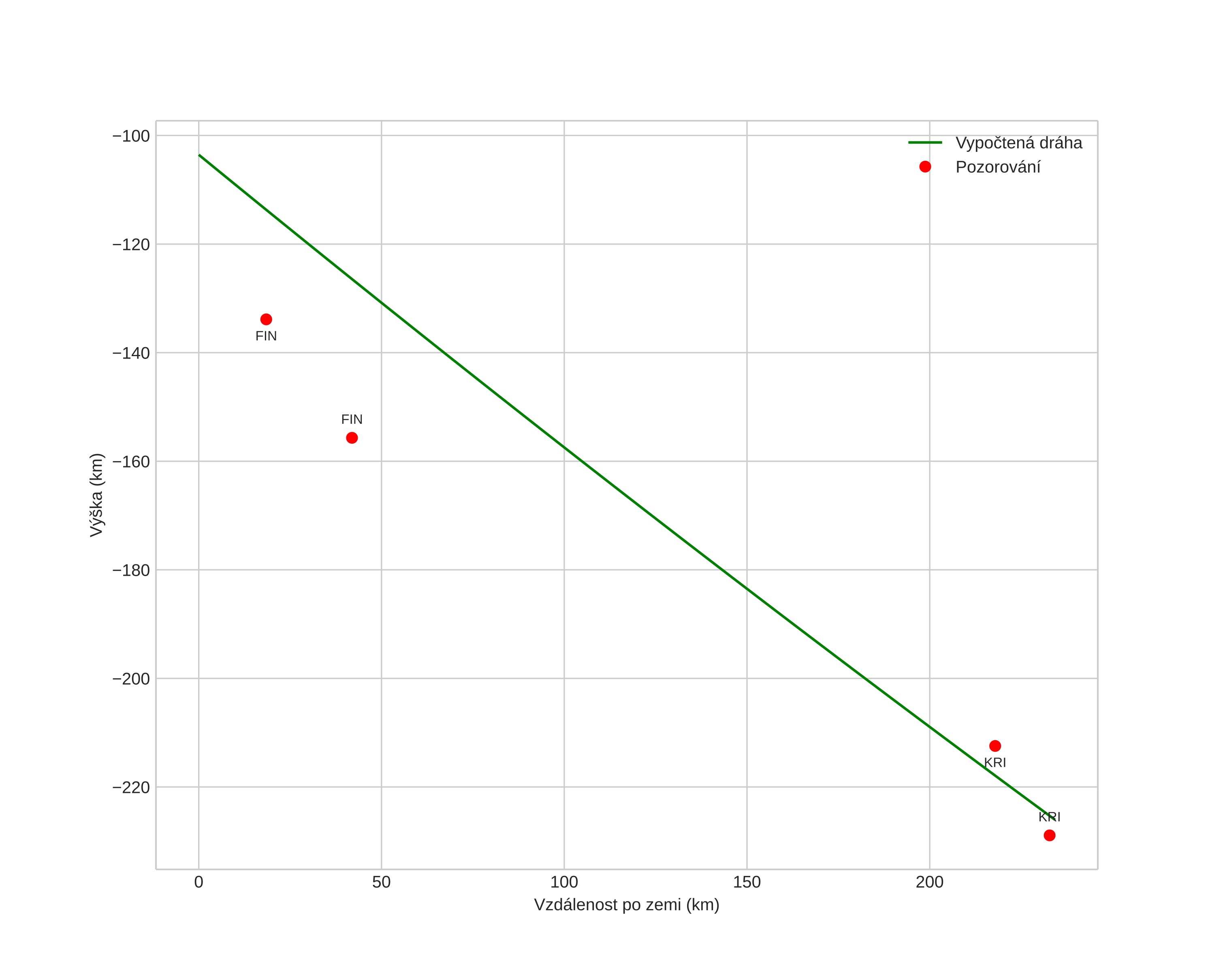
height profile
Atmosférická dráha meteoru:
Počáteční výška: -130,4 km
Konečná výška: -224,8 km
Počáteční poloha: 57,931N 8,895E
Konečná poloha: 55,443N 11,489E
Směr: 149,1°
Sklon: 16,5°
VstupnĂ­ rychlost: 124,6 km/s
Rektascenze radiantu: 19:07 (286,9°)
Deklinace radiantu: 42,4°
MeteorickĂ˝ roj: sporadickĂ˝
Elementy dráhy meteoroidu:
Vzdálenost v periheliu: 0,973 AU
Excentricita: 20,132
Sklon dráhy: 54,8°
Délka vzestupného uzlu: 235,8°
Argument perihelia: 169,7°
Střední anomálie: 190,1°
Epocha: 2024 NOV 17 23:54:40
orbit plot

NeinteraktivnĂ­ graf | InteraktivnĂ­ graf

position vs time
speed and acceleration