🇳🇴 🇬🇧 🇩🇪 🇨🇿 🇫🇮

Meteor, poloha: Insjön 2024-11-18 00:01:34 UTC

Soubor KML  |  InteraktivnĂ­ mapa

Mapa zobrazuje dráhy meteoru. Světlejší čáry ukazují směry od pozorovacích stanic při objevení se meteoru a tmavší čáry, kde byl naposledy viděn. Modrá šipka značí viditelnou dráhu meteoru.

static map
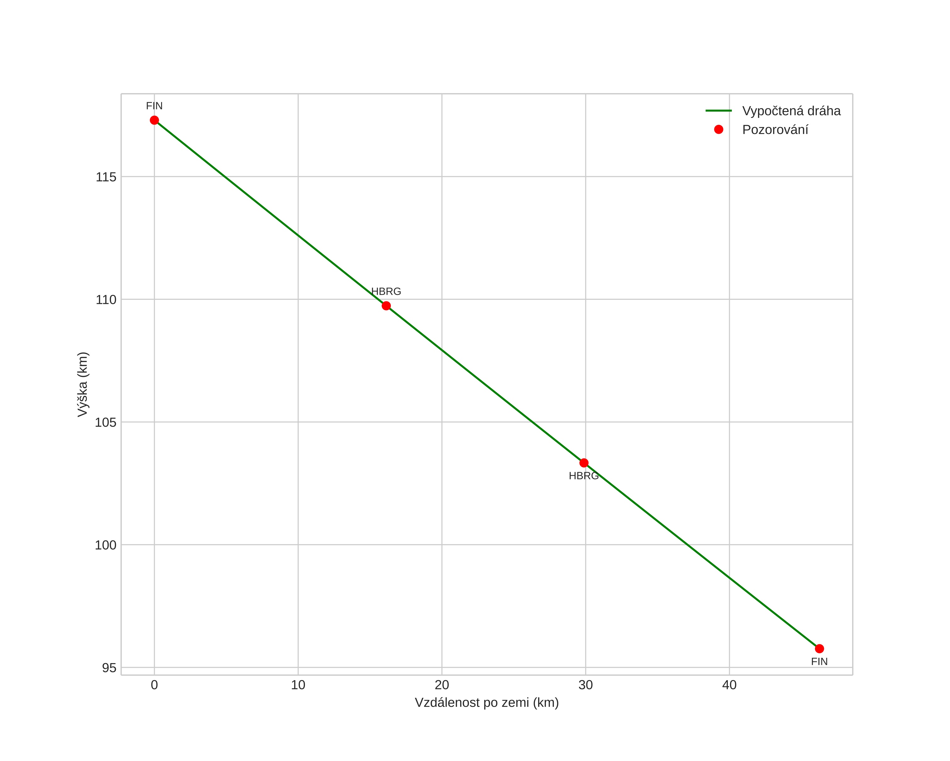
height profile
Atmosférická dráha meteoru:
Počáteční výška: 116,4 km
Konečná výška: 94,5 km
Počáteční poloha: 60,664N 16,071E
Konečná poloha: 60,656N 15,203E
Směr: 269,4°
Sklon: 24,8°
VstupnĂ­ rychlost: 65,5 km/s
Rektascenze radiantu: 10:06 (151,5°)
Deklinace radiantu: 21,5°
MeteorickĂ˝ roj: Leonidy
Elementy dráhy meteoroidu:
Vzdálenost v periheliu: 0,988 AU
Excentricita: 0,361
Sklon dráhy: 162,9°
Délka vzestupného uzlu: 235,8°
Argument perihelia: 181,2°
Střední anomálie: 359,5°
Epocha: 2024 NOV 18 00:01:34
orbit plot

NeinteraktivnĂ­ graf | InteraktivnĂ­ graf

position vs time
speed and acceleration