🇳🇴 🇬🇧 🇩🇪 🇨🇿 🇫🇮

Meteor, poloha: Malung 2024-11-18 00:31:29 UTC

Soubor KML  |  InteraktivnĂ­ mapa

Mapa zobrazuje dráhy meteoru. Světlejší čáry ukazují směry od pozorovacích stanic při objevení se meteoru a tmavší čáry, kde byl naposledy viděn. Modrá šipka značí viditelnou dráhu meteoru.

static map
height profile
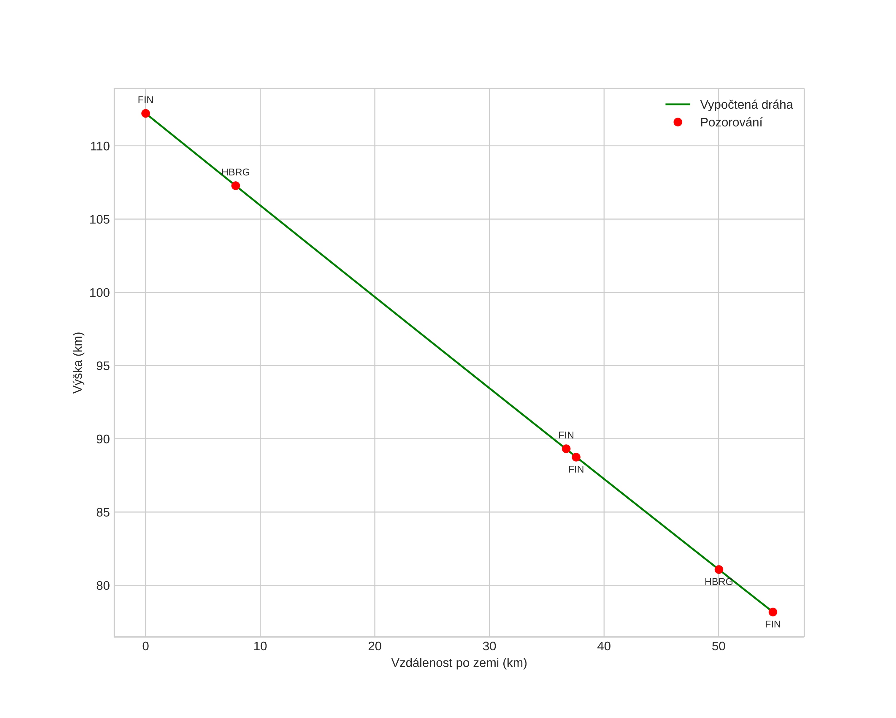
Atmosférická dráha meteoru:
Počáteční výška: 112,1 km
Konečná výška: 77,9 km
Počáteční poloha: 60,933N 14,548E
Konečná poloha: 60,890N 13,538E
Směr: 265,5°
Sklon: 32,0°
VstupnĂ­ rychlost: 41,7 km/s
Rektascenze radiantu: 10:27 (156,9°)
Deklinace radiantu: 29,0°
MeteorickĂ˝ roj: sporadickĂ˝
Elementy dráhy meteoroidu:
Vzdálenost v periheliu: 0,133 AU
Excentricita: 0,762
Sklon dráhy: 122,6°
Délka vzestupného uzlu: 235,8°
Argument perihelia: 1,2°
Střední anomálie: 174,4°
Epocha: 2024 NOV 18 00:31:29
orbit plot

NeinteraktivnĂ­ graf | InteraktivnĂ­ graf

position vs time
speed and acceleration