🇳🇴 🇬🇧 🇩🇪 🇨🇿 🇫🇮

Meteor, poloha: Bjørkelangen 2024-11-18 01:11:07 UTC

Soubor KML  |  InteraktivnĂ­ mapa

Mapa zobrazuje dráhy meteoru. Světlejší čáry ukazují směry od pozorovacích stanic při objevení se meteoru a tmavší čáry, kde byl naposledy viděn. Modrá šipka značí viditelnou dráhu meteoru.

static map
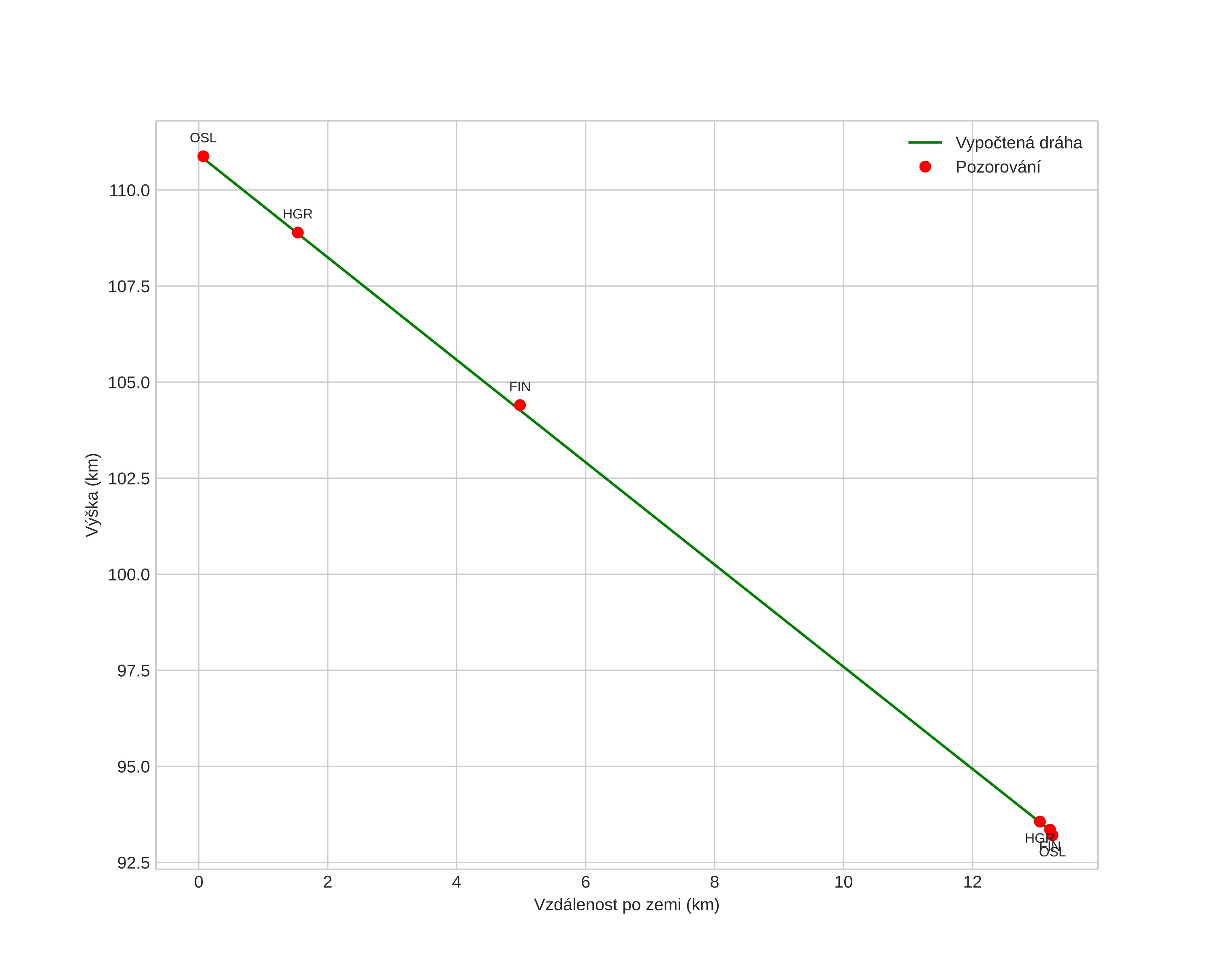
height profile
Atmosférická dráha meteoru:
Počáteční výška: 108,9 km
Konečná výška: 93,1 km
Počáteční poloha: 59,868N 11,829E
Konečná poloha: 59,851N 11,618E
Směr: 261,2°
Sklon: 53,0°
VstupnĂ­ rychlost: 60,5 km/s
Rektascenze radiantu: 09:53 (148,4°)
Deklinace radiantu: 47,4°
MeteorickĂ˝ roj: sporadickĂ˝
Elementy dráhy meteoroidu:
Vzdálenost v periheliu: 0,881 AU
Excentricita: 0,700
Sklon dráhy: 120,6°
Délka vzestupného uzlu: 235,8°
Argument perihelia: 222,6°
Střední anomálie: 354,2°
Epocha: 2024 NOV 18 01:11:07
orbit plot

NeinteraktivnĂ­ graf | InteraktivnĂ­ graf

position vs time
speed and acceleration

Voksenlia (OSL) cam6


gnomonic
Videa
• Gnomonická
• Gnomonická se souřadnicemi
• Původní
• Původní se souřadnicemi
Obrázky
• Gnomonická
• Gnomonická se souřadnicemi
• Původní
• Původní se souřadnicemi
Textové soubory
• Detekce
• Pozorování
• Souřadnice
• Protokol
Jasnost