🇳🇴 🇬🇧 🇩🇪 🇨🇿 🇫🇮

Meteor Lampelandin yllä 2024-11-18 01:24:42 UTC

KML-tiedosto  |  Interaktiivinen kartta

Kartta näyttää meteorin suuntahavainnot. Vaaleammat viivat näyttävät suunnat havaintoasemilta meteorin ilmestyessä, ja tummemmat viivat näyttävät, missä se viimeksi nähtiin. Sininen nuoli näyttää meteorin näkyvän lennon.

static map
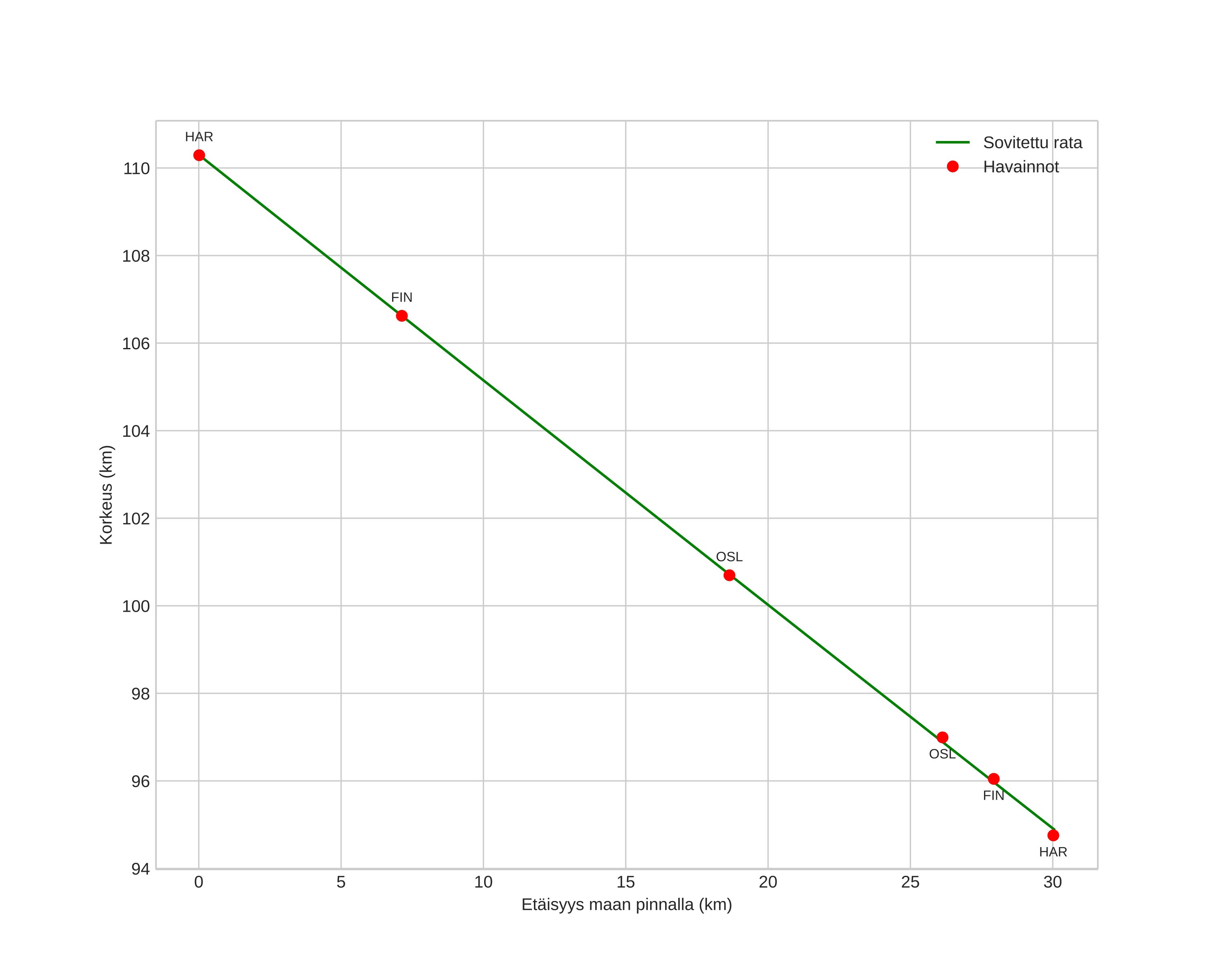
height profile
Meteorin ilmakehärata:
Alkukorkeus: 109,7 km
Loppukorkeus: 95,3 km
Alkupiste: 59,651N 9,829E
Loppupiste: 59,810N 9,393E
Suunta: 306,1°
Kallistuskulma: 25,5°
Tulonopeus: 73,0 km/s
Radiantin R,A,: 09:01 (135,3°)
Radiantin Dekl,: 5,6°
Meteoriparvi: Sporadinen
Meteoroidin rataelementit:
Perihelietäisyys: 0,913 AU
Eksentrisyys: 1,109
Inklinaatio: 161,1°
Nousevan solmun pituus: 55,8°
Perihelin argumentti: 31,2°
Keskianomalia: -0,8°
Epookki: 2024 NOV 18 01:24:42
orbit plot

Ei-interaktiivinen kuvaaja | Interaktiivinen kuvaaja

position vs time
speed and acceleration

Voksenlia (OSL) cam7


gnomonic
Videot:
• Gnomoninen
• Gnomoninen koordinaateilla
• Alkuperäinen
• Alkuperäinen koordinaateilla
Kuvat:
• Gnomoninen
• Gnomoninen koordinaateilla
• Gnomoninen merkinnöillä
• Alkuperäinen
• Alkuperäinen koordinaateilla
Tekstitiedostot:
• Havaintoraportti
• Observaatio
• Koordinaatit
• Loki
Kirkkaus