🇳🇴 🇬🇧 🇩🇪 🇨🇿 🇫🇮

Meteor, poloha: Innbygda 2024-11-18 01:50:14 UTC

Soubor KML  |  InteraktivnĂ­ mapa

Mapa zobrazuje dráhy meteoru. Světlejší čáry ukazují směry od pozorovacích stanic při objevení se meteoru a tmavší čáry, kde byl naposledy viděn. Modrá šipka značí viditelnou dráhu meteoru.

static map
height profile
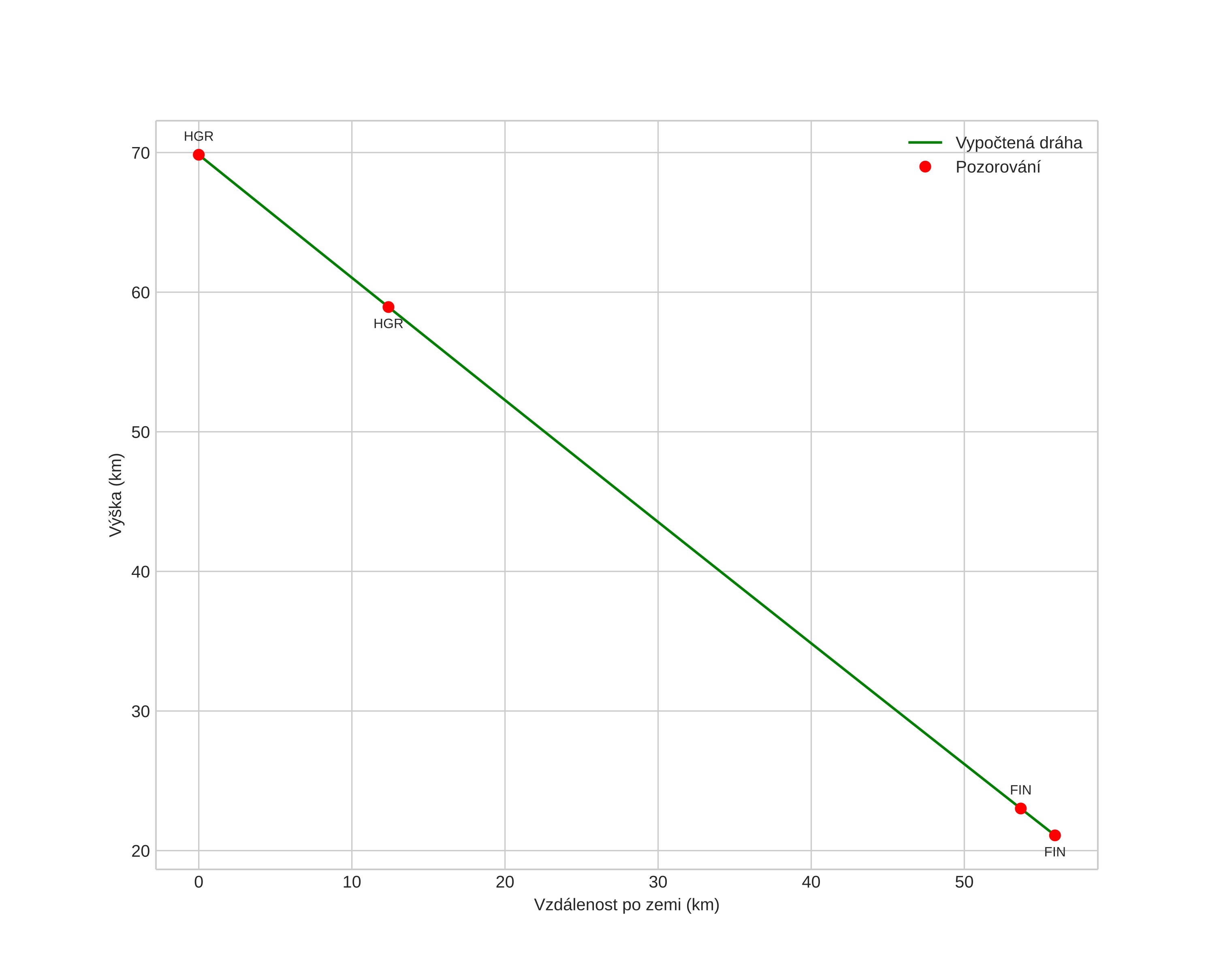
Atmosférická dráha meteoru:
Počáteční výška: 76,0 km
Konečná výška: 22,0 km
Počáteční poloha: 61,282N 13,292E
Konečná poloha: 61,423N 12,156E
Směr: 285,0°
Sklon: 40,8°
VstupnĂ­ rychlost: 73,0 km/s
Rektascenze radiantu: 10:17 (154,4°)
Deklinace radiantu: 28,5°
MeteorickĂ˝ roj: Leonidy
Elementy dráhy meteoroidu:
Vzdálenost v periheliu: 0,988 AU
Excentricita: 1,155
Sklon dráhy: 152,1°
Délka vzestupného uzlu: 235,9°
Argument perihelia: 181,0°
Střední anomálie: -0,0°
Epocha: 2024 NOV 18 01:50:14
orbit plot

NeinteraktivnĂ­ graf | InteraktivnĂ­ graf

position vs time
speed and acceleration