🇳🇴 🇬🇧 🇩🇪 🇨🇿 🇫🇮

Meteor, poloha: Kongsberg 2024-11-18 02:12:41 UTC

Soubor KML  |  InteraktivnĂ­ mapa

Mapa zobrazuje dráhy meteoru. Světlejší čáry ukazují směry od pozorovacích stanic při objevení se meteoru a tmavší čáry, kde byl naposledy viděn. Modrá šipka značí viditelnou dráhu meteoru.

static map
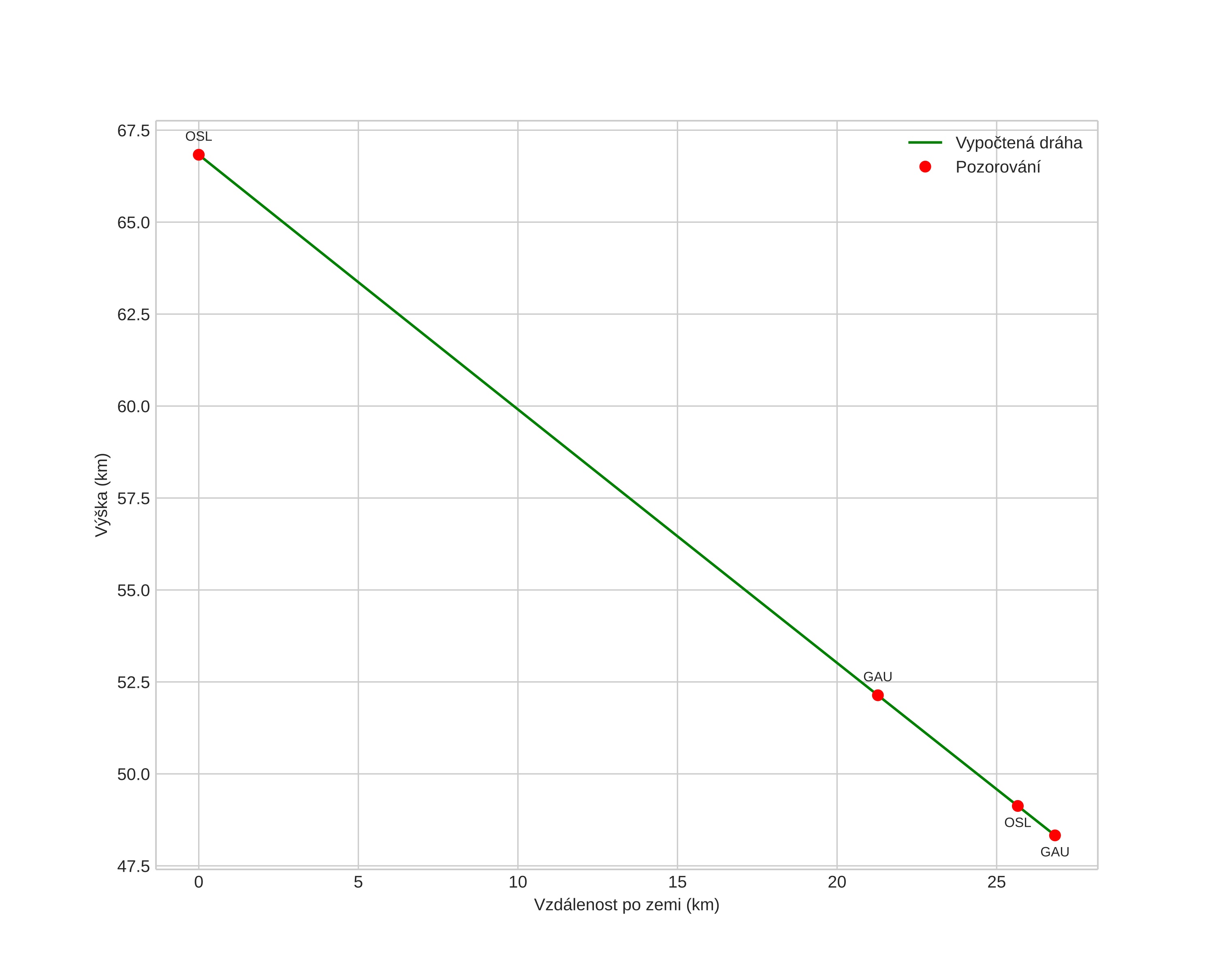
height profile
Atmosférická dráha meteoru:
Počáteční výška: 66,5 km
Konečná výška: 47,6 km
Počáteční poloha: 59,778N 9,374E
Konečná poloha: 59,567N 9,611E
Směr: 150,4°
Sklon: 35,0°
VstupnĂ­ rychlost: 20,0 km/s
Rektascenze radiantu: 21:49 (327,4°)
Deklinace radiantu: 53,2°
MeteorickĂ˝ roj: sporadickĂ˝
Elementy dráhy meteoroidu:
Vzdálenost v periheliu: 0,968 AU
Excentricita: 0,788
Sklon dráhy: 21,4°
Délka vzestupného uzlu: 235,9°
Argument perihelia: 197,7°
Střední anomálie: 358,7°
Epocha: 2024 NOV 18 02:12:41
orbit plot

NeinteraktivnĂ­ graf | InteraktivnĂ­ graf

position vs time
speed and acceleration