🇳🇴 🇬🇧 🇩🇪 🇨🇿 🇫🇮

Meteor Fevikin yllä 2024-11-18 03:18:57 UTC

KML-tiedosto  |  Interaktiivinen kartta

Kartta näyttää meteorin suuntahavainnot. Vaaleammat viivat näyttävät suunnat havaintoasemilta meteorin ilmestyessä, ja tummemmat viivat näyttävät, missä se viimeksi nähtiin. Sininen nuoli näyttää meteorin näkyvän lennon.

static map
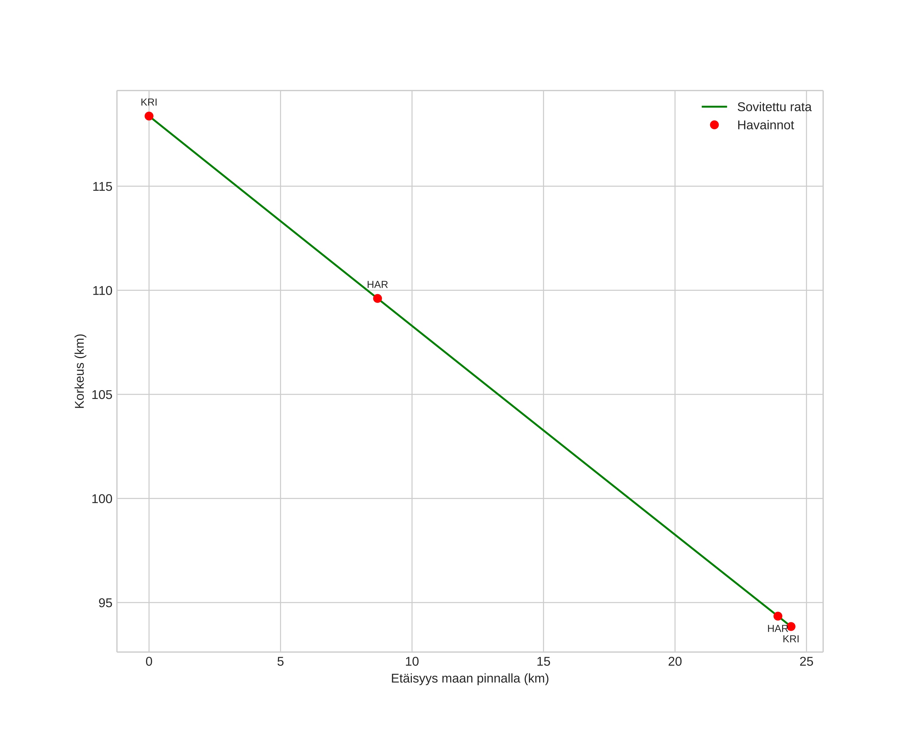
height profile
Meteorin ilmakehärata:
Alkukorkeus: 117,5 km
Loppukorkeus: 93,1 km
Alkupiste: 57,786N 9,358E
Loppupiste: 57,916N 9,026E
Suunta: 306,5°
Kallistuskulma: 45,1°
Tulonopeus: 60,5 km/s
Radiantin R,A,: 10:16 (154,0°)
Radiantin Dekl,: 21,7°
Meteoriparvi: Leonidit
Meteoroidin rataelementit:
Perihelietäisyys: 0,942 AU
Eksentrisyys: 0,062
Inklinaatio: 159,5°
Nousevan solmun pituus: 235,9°
Perihelin argumentti: 101,1°
Keskianomalia: 72,0°
Epookki: 2024 NOV 18 03:18:57
orbit plot

Ei-interaktiivinen kuvaaja | Interaktiivinen kuvaaja

position vs time
speed and acceleration

Harestua (HAR) cam4


gnomonic
Videot:
• Gnomoninen
• Gnomoninen koordinaateilla
• Alkuperäinen
• Alkuperäinen koordinaateilla
Kuvat:
• Gnomoninen
• Gnomoninen koordinaateilla
• Gnomoninen merkinnöillä
• Alkuperäinen
• Alkuperäinen koordinaateilla
Tekstitiedostot:
• Havaintoraportti
• Observaatio
• Koordinaatit
• Loki
Kirkkaus