🇳🇴 🇬🇧 🇩🇪 🇨🇿 🇫🇮

Meteor, poloha: Halden 2024-11-18 05:05:44 UTC

Soubor KML  |  InteraktivnĂ­ mapa

Mapa zobrazuje dráhy meteoru. Světlejší čáry ukazují směry od pozorovacích stanic při objevení se meteoru a tmavší čáry, kde byl naposledy viděn. Modrá šipka značí viditelnou dráhu meteoru.

static map
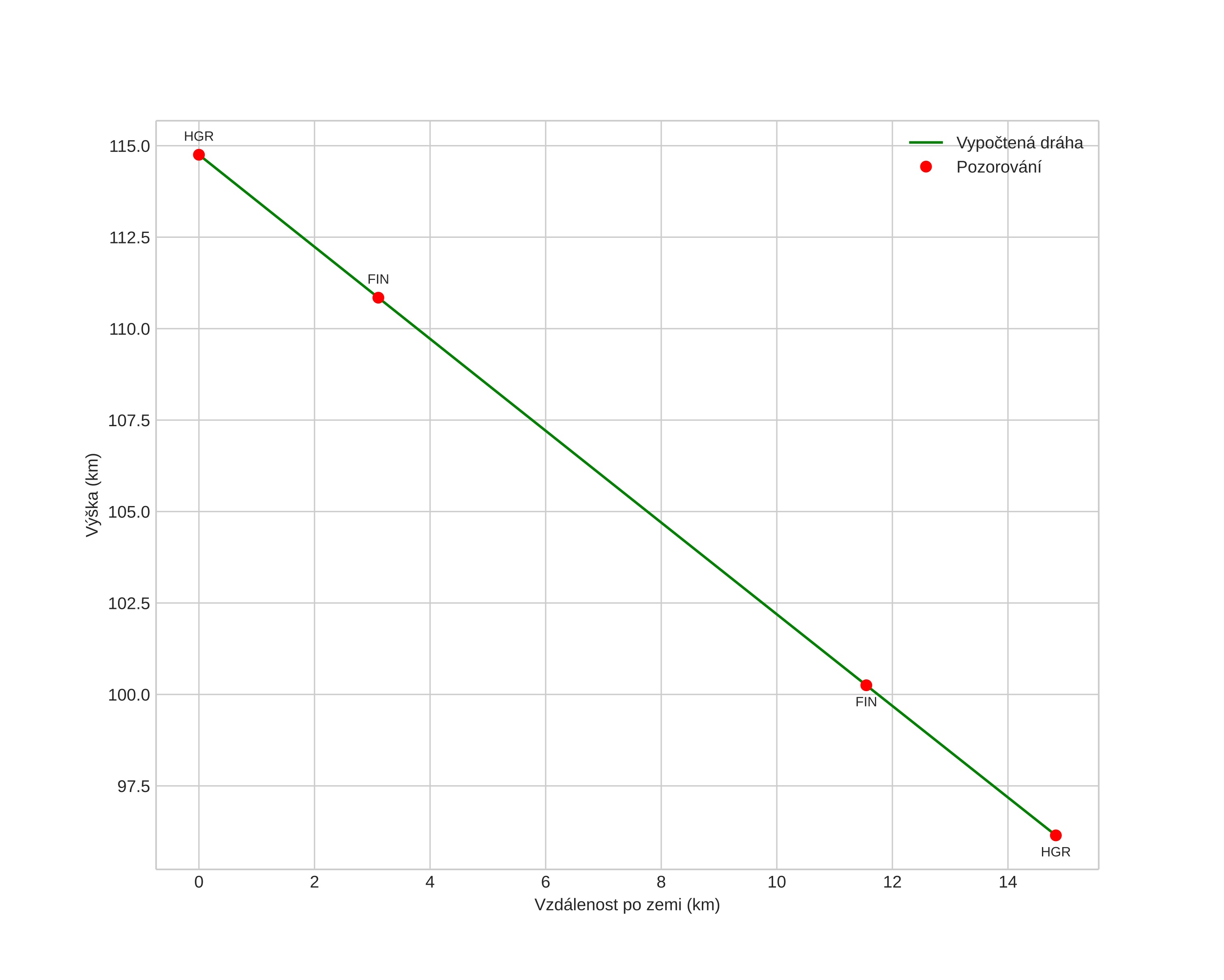
height profile
Atmosférická dráha meteoru:
Počáteční výška: 118,8 km
Konečná výška: 98,1 km
Počáteční poloha: 58,775N 11,501E
Konečná poloha: 58,920N 11,434E
Směr: 346,7°
Sklon: 51,3°
VstupnĂ­ rychlost: 73,0 km/s
Rektascenze radiantu: 10:15 (153,9°)
Deklinace radiantu: 20,4°
MeteorickĂ˝ roj: Leonidy
Elementy dráhy meteoroidu:
Vzdálenost v periheliu: 0,984 AU
Excentricita: 1,027
Sklon dráhy: 164,7°
Délka vzestupného uzlu: 236,0°
Argument perihelia: 172,8°
Střední anomálie: 0,0°
Epocha: 2024 NOV 18 05:05:44
orbit plot

NeinteraktivnĂ­ graf | InteraktivnĂ­ graf

position vs time
speed and acceleration