🇳🇴 🇬🇧 🇩🇪 🇨🇿 🇫🇮

Meteor, poloha: Tonstad 2024-11-18 05:10:09 UTC

Soubor KML  |  InteraktivnĂ­ mapa

Mapa zobrazuje dráhy meteoru. Světlejší čáry ukazují směry od pozorovacích stanic při objevení se meteoru a tmavší čáry, kde byl naposledy viděn. Modrá šipka značí viditelnou dráhu meteoru.

static map
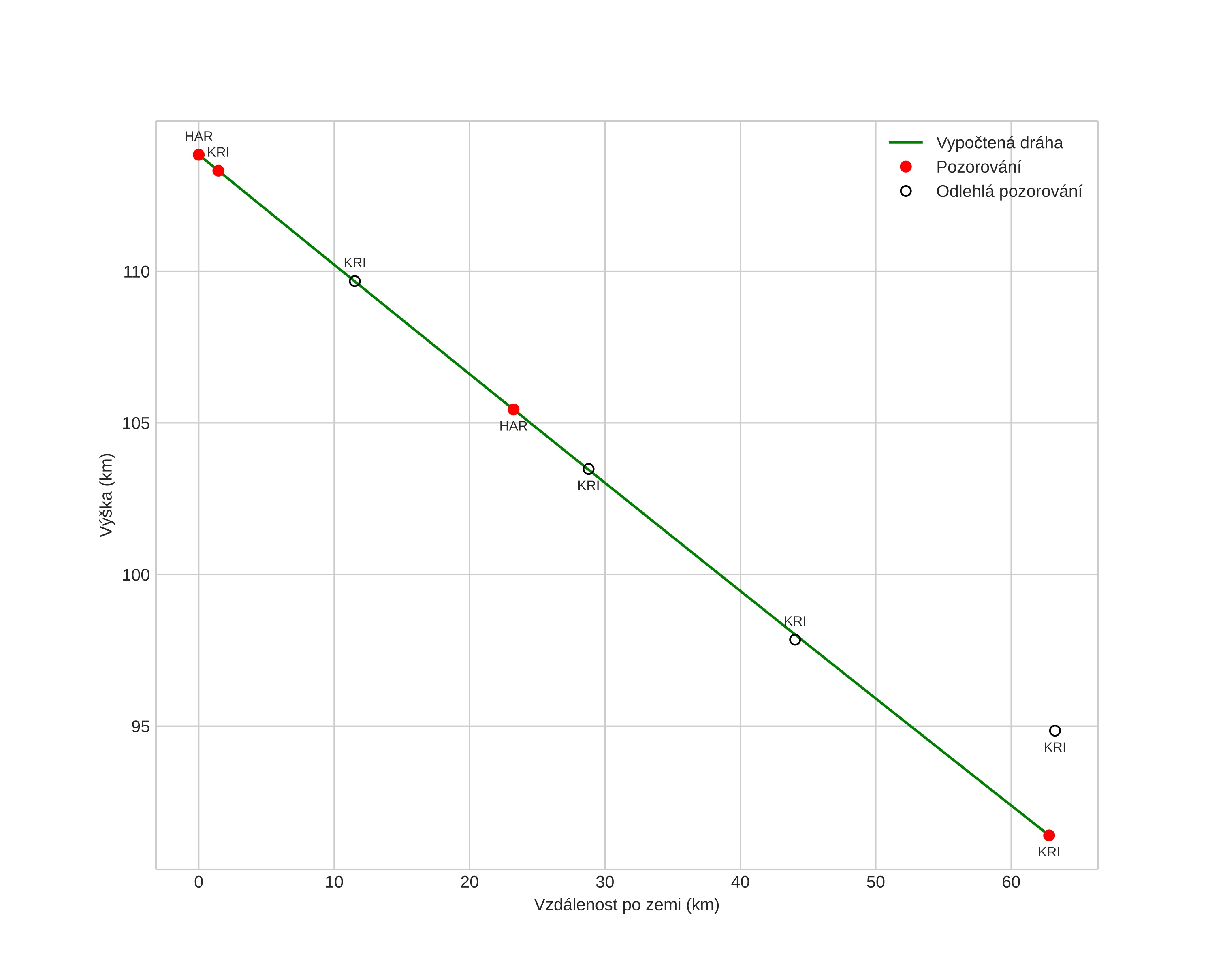
height profile
Atmosférická dráha meteoru:
Počáteční výška: 111,9 km
Konečná výška: 103,3 km
Počáteční poloha: 58,828N 6,783E
Konečná poloha: 59,041N 6,812E
Směr: 3,9°
Sklon: 19,9°
VstupnĂ­ rychlost: 67,7 km/s
Rektascenze radiantu: 09:10 (137,7°)
Deklinace radiantu: -11,7°
MeteorickĂ˝ roj: sporadickĂ˝
Elementy dráhy meteoroidu:
Vzdálenost v periheliu: 0,985 AU
Excentricita: 0,981
Sklon dráhy: 134,7°
Délka vzestupného uzlu: 56,0°
Argument perihelia: 6,5°
Střední anomálie: 360,0°
Epocha: 2024 NOV 18 05:10:09
orbit plot

NeinteraktivnĂ­ graf | InteraktivnĂ­ graf

position vs time
speed and acceleration