🇳🇴 🇬🇧 🇩🇪 🇨🇿 🇫🇮

Meteor, poloha: Spetalen 2024-11-18 16:13:28 UTC

Soubor KML  |  InteraktivnĂ­ mapa

Mapa zobrazuje dráhy meteoru. Světlejší čáry ukazují směry od pozorovacích stanic při objevení se meteoru a tmavší čáry, kde byl naposledy viděn. Modrá šipka značí viditelnou dráhu meteoru.

static map
height profile
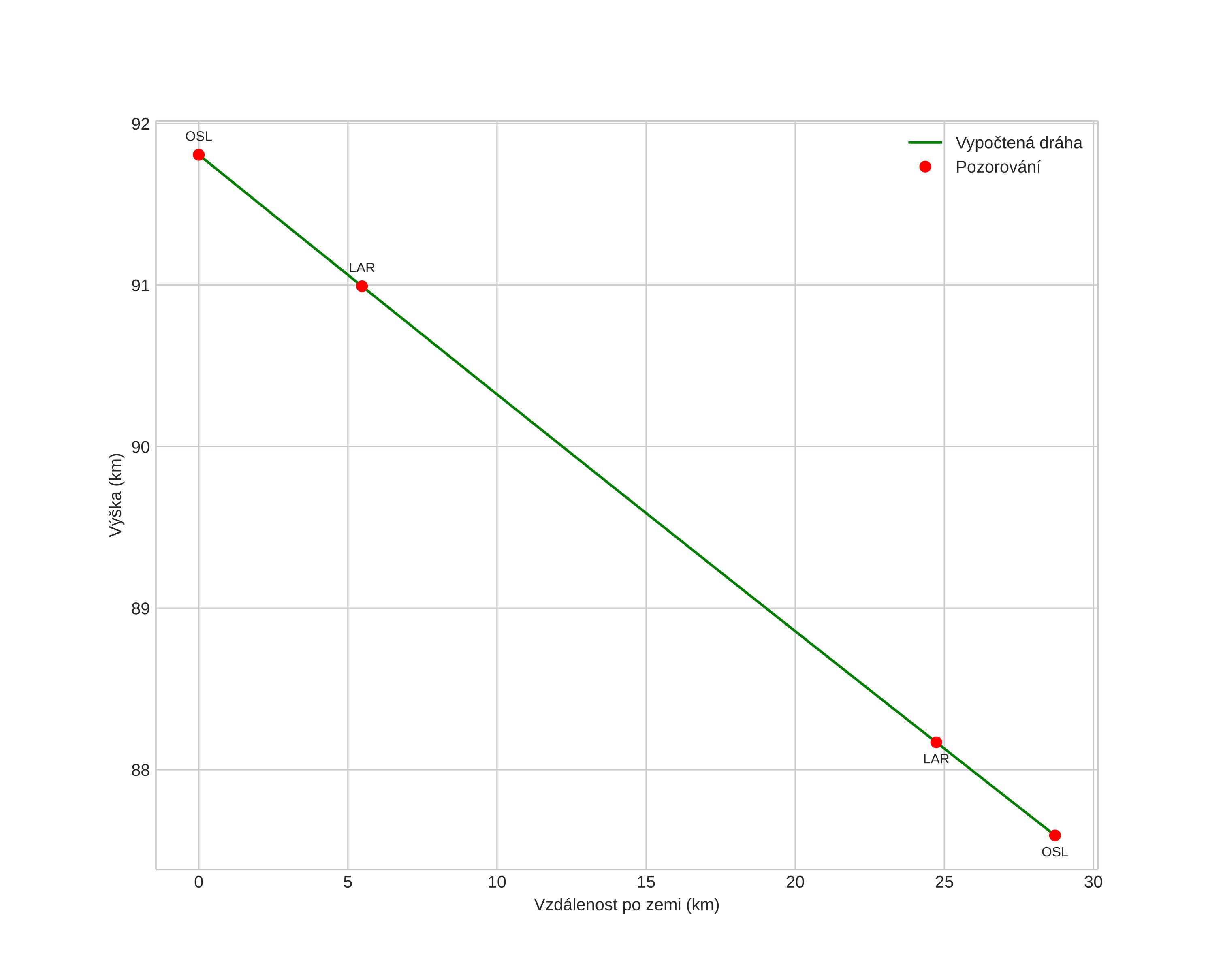
Atmosférická dráha meteoru:
Počáteční výška: 92,4 km
Konečná výška: 87,5 km
Počáteční poloha: 60,008N 12,376E
Konečná poloha: 59,903N 11,853E
Směr: 248,5°
Sklon: 8,9°
VstupnĂ­ rychlost: 18,5 km/s
Rektascenze radiantu: 04:14 (63,7°)
Deklinace radiantu: 8,7°
MeteorickĂ˝ roj: sporadickĂ˝
Elementy dráhy meteoroidu:
Vzdálenost v periheliu: 0,613 AU
Excentricita: 0,467
Sklon dráhy: 6,2°
Délka vzestupného uzlu: 56,5°
Argument perihelia: 101,0°
Střední anomálie: 313,2°
Epocha: 2024 NOV 18 16:13:28
orbit plot

NeinteraktivnĂ­ graf | InteraktivnĂ­ graf

position vs time
speed and acceleration