🇳🇴 🇬🇧 🇩🇪 🇨🇿 🇫🇮

Meteor, poloha: Lærdalsøyri 2024-11-18 16:43:22 UTC

Soubor KML  |  InteraktivnĂ­ mapa

Mapa zobrazuje dráhy meteoru. Světlejší čáry ukazují směry od pozorovacích stanic při objevení se meteoru a tmavší čáry, kde byl naposledy viděn. Modrá šipka značí viditelnou dráhu meteoru.

static map
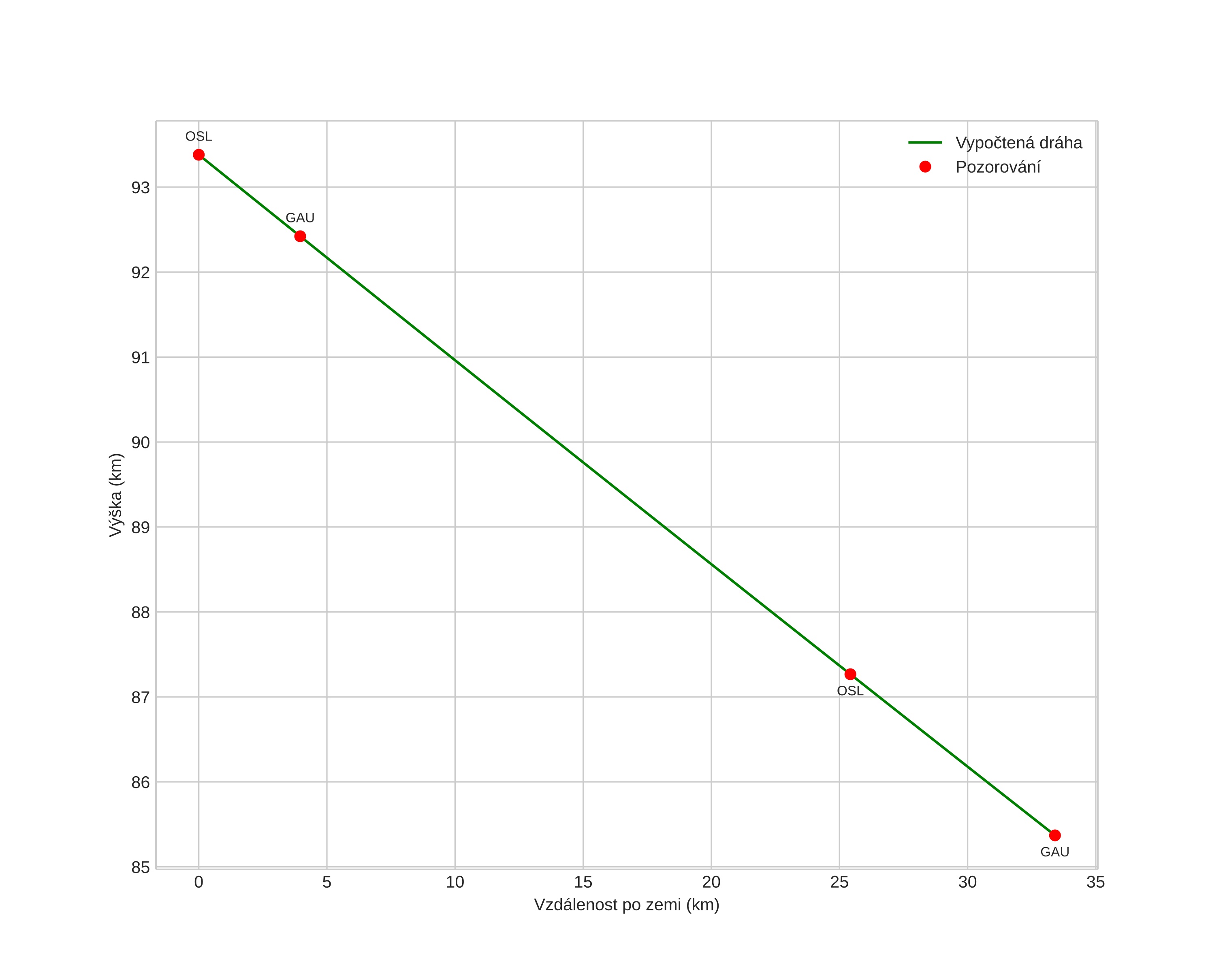
height profile
Atmosférická dráha meteoru:
Počáteční výška: 92,9 km
Konečná výška: 87,5 km
Počáteční poloha: 61,299N 8,138E
Konečná poloha: 61,230N 7,459E
Směr: 258,4°
Sklon: 8,3°
VstupnĂ­ rychlost: 32,3 km/s
Rektascenze radiantu: 03:38 (54,6°)
Deklinace radiantu: 10,1°
MeteorickĂ˝ roj: sporadickĂ˝
Elementy dráhy meteoroidu:
Vzdálenost v periheliu: 0,528 AU
Excentricita: 1,057
Sklon dráhy: 8,8°
Délka vzestupného uzlu: 56,5°
Argument perihelia: 84,5°
Střední anomálie: -1,3°
Epocha: 2024 NOV 18 16:43:22
orbit plot

NeinteraktivnĂ­ graf | InteraktivnĂ­ graf

position vs time
speed and acceleration