🇳🇴 🇬🇧 🇩🇪 🇨🇿 🇫🇮

Meteor, poloha: Myra 2024-11-18 16:55:56 UTC

Soubor KML  |  InteraktivnĂ­ mapa

Mapa zobrazuje dráhy meteoru. Světlejší čáry ukazují směry od pozorovacích stanic při objevení se meteoru a tmavší čáry, kde byl naposledy viděn. Modrá šipka značí viditelnou dráhu meteoru.

static map
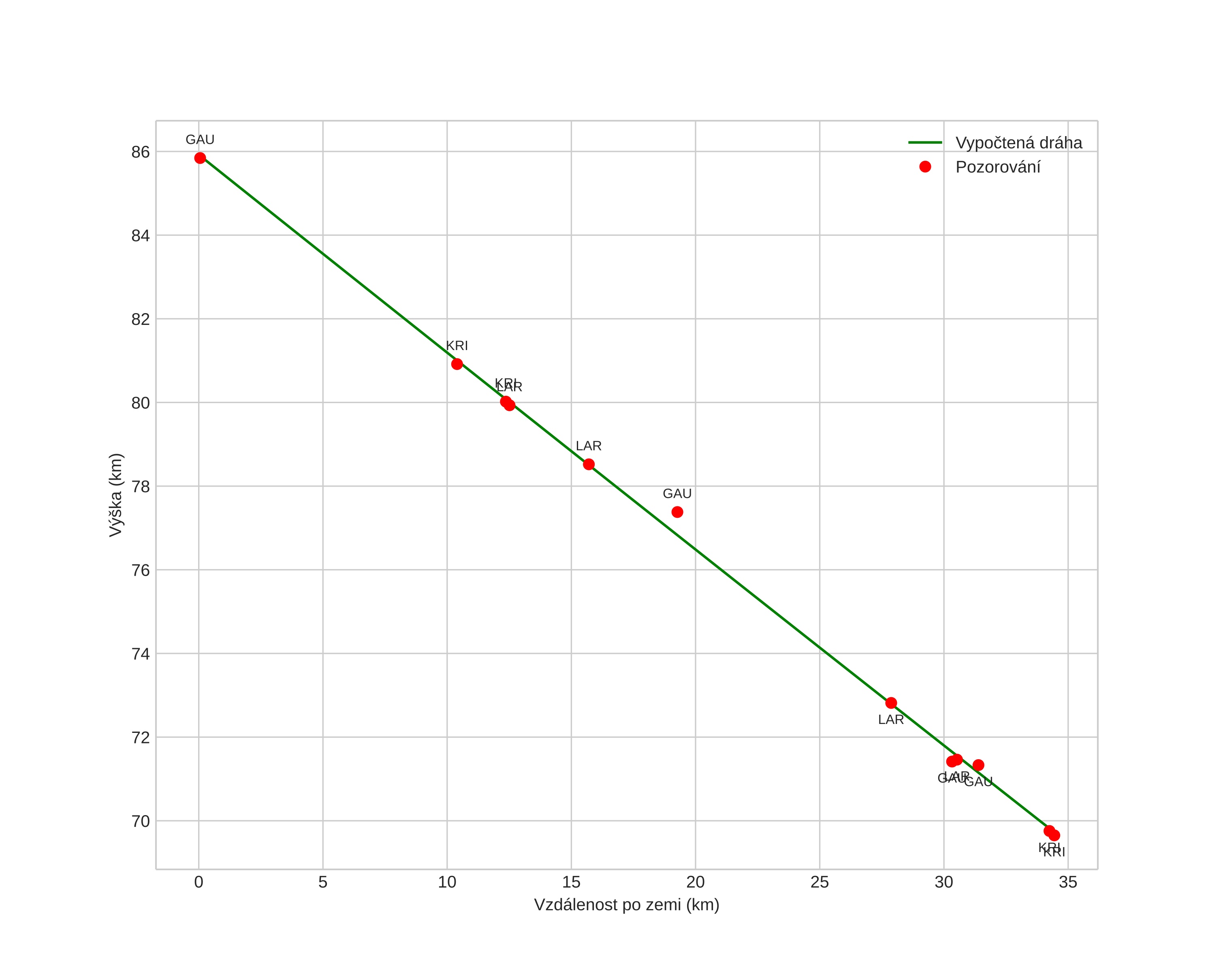
height profile
Atmosférická dráha meteoru:
Počáteční výška: 83,7 km
Konečná výška: 69,7 km
Počáteční poloha: 58,796N 9,403E
Konečná poloha: 58,800N 8,876E
Směr: 270,9°
Sklon: 24,8°
VstupnĂ­ rychlost: 21,5 km/s
Rektascenze radiantu: 02:40 (40,1°)
Deklinace radiantu: 15,7°
MeteorickĂ˝ roj: sporadickĂ˝
Elementy dráhy meteoroidu:
Vzdálenost v periheliu: 0,743 AU
Excentricita: 0,761
Sklon dráhy: 0,1°
Délka vzestupného uzlu: 233,9°
Argument perihelia: 247,4°
Střední anomálie: 353,0°
Epocha: 2024 NOV 18 16:55:56
orbit plot

NeinteraktivnĂ­ graf | InteraktivnĂ­ graf

position vs time
speed and acceleration