🇳🇴 🇬🇧 🇩🇪 🇨🇿 🇫🇮

Meteor Tjømen yllä 2024-11-18 17:02:49 UTC

KML-tiedosto  |  Interaktiivinen kartta

Kartta näyttää meteorin suuntahavainnot. Vaaleammat viivat näyttävät suunnat havaintoasemilta meteorin ilmestyessä, ja tummemmat viivat näyttävät, missä se viimeksi nähtiin. Sininen nuoli näyttää meteorin näkyvän lennon.

static map
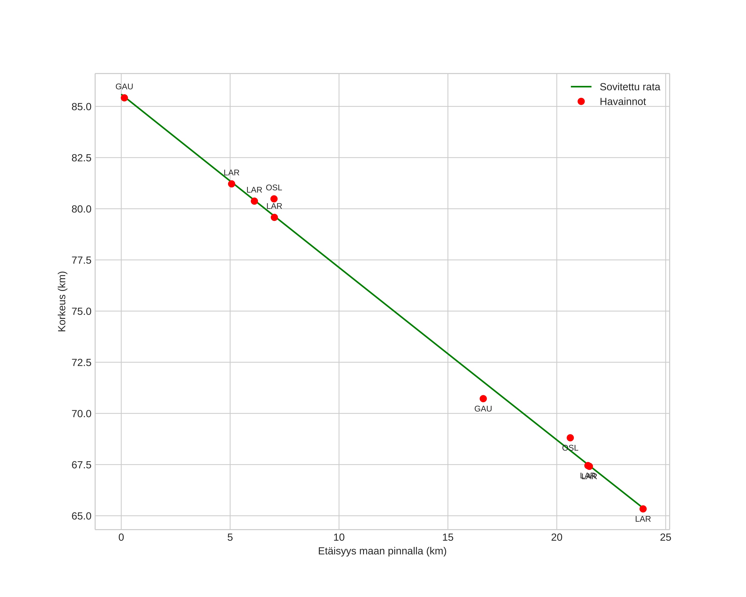
height profile
Meteorin ilmakehärata:
Alkukorkeus: 85,8 km
Loppukorkeus: 65,7 km
Alkupiste: 59,077N 10,901E
Loppupiste: 59,032N 10,494E
Suunta: 257,9°
Kallistuskulma: 40,2°
Tulonopeus: 25,2 km/s
Radiantin R,A,: 02:47 (41,9°)
Radiantin Dekl,: 37,4°
Meteoriparvi: Sporadinen
Meteoroidin rataelementit:
Perihelietäisyys: 0,665 AU
Eksentrisyys: 0,813
Inklinaatio: 13,6°
Nousevan solmun pituus: 236,5°
Perihelin argumentti: 254,4°
Keskianomalia: 354,1°
Epookki: 2024 NOV 18 17:02:49
orbit plot

Ei-interaktiivinen kuvaaja | Interaktiivinen kuvaaja

position vs time
speed and acceleration