🇳🇴 🇬🇧 🇩🇪 🇨🇿 🇫🇮

Meteor, poloha: Arendal 2024-11-18 19:02:50 UTC

Soubor KML  |  InteraktivnĂ­ mapa

Mapa zobrazuje dráhy meteoru. Světlejší čáry ukazují směry od pozorovacích stanic při objevení se meteoru a tmavší čáry, kde byl naposledy viděn. Modrá šipka značí viditelnou dráhu meteoru.

static map
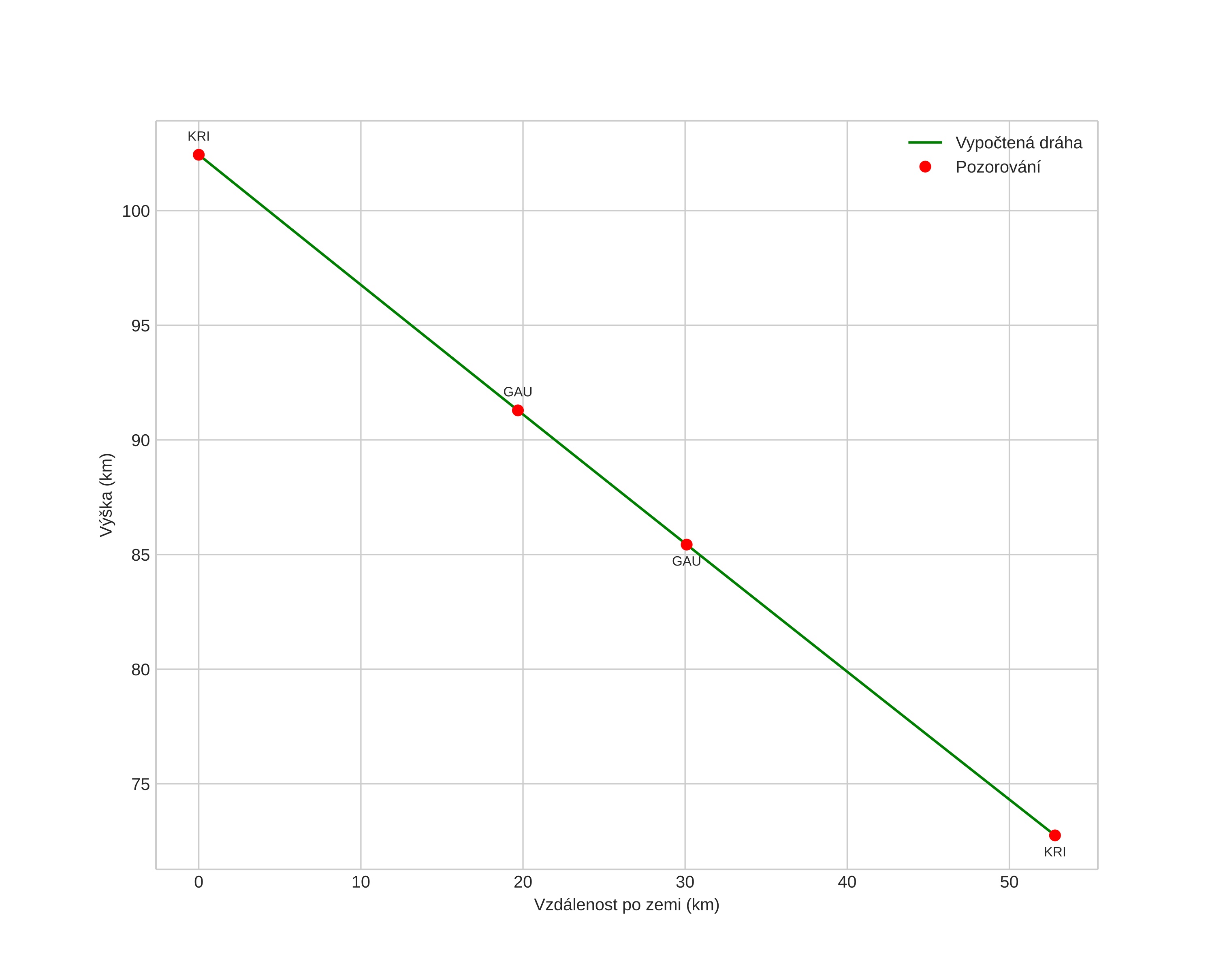
height profile
Atmosférická dráha meteoru:
Počáteční výška: 104,1 km
Konečná výška: 72,8 km
Počáteční poloha: 58,397N 9,851E
Konečná poloha: 58,371N 8,916E
Směr: 267,3°
Sklon: 29,8°
VstupnĂ­ rychlost: 29,3 km/s
Rektascenze radiantu: 04:40 (70,2°)
Deklinace radiantu: 24,4°
MeteorickĂ˝ roj: SevernĂ­ Tauridy
Elementy dráhy meteoroidu:
Vzdálenost v periheliu: 0,325 AU
Excentricita: 0,789
Sklon dráhy: 2,6°
Délka vzestupného uzlu: 236,5°
Argument perihelia: 301,6°
Střední anomálie: 337,3°
Epocha: 2024 NOV 18 19:02:50
orbit plot

NeinteraktivnĂ­ graf | InteraktivnĂ­ graf

position vs time
speed and acceleration