🇳🇴 🇬🇧 🇩🇪 🇨🇿 🇫🇮

Meteor, poloha: Skagen 2024-11-18 19:08:11 UTC

Soubor KML  |  InteraktivnĂ­ mapa

Mapa zobrazuje dráhy meteoru. Světlejší čáry ukazují směry od pozorovacích stanic při objevení se meteoru a tmavší čáry, kde byl naposledy viděn. Modrá šipka značí viditelnou dráhu meteoru.

static map
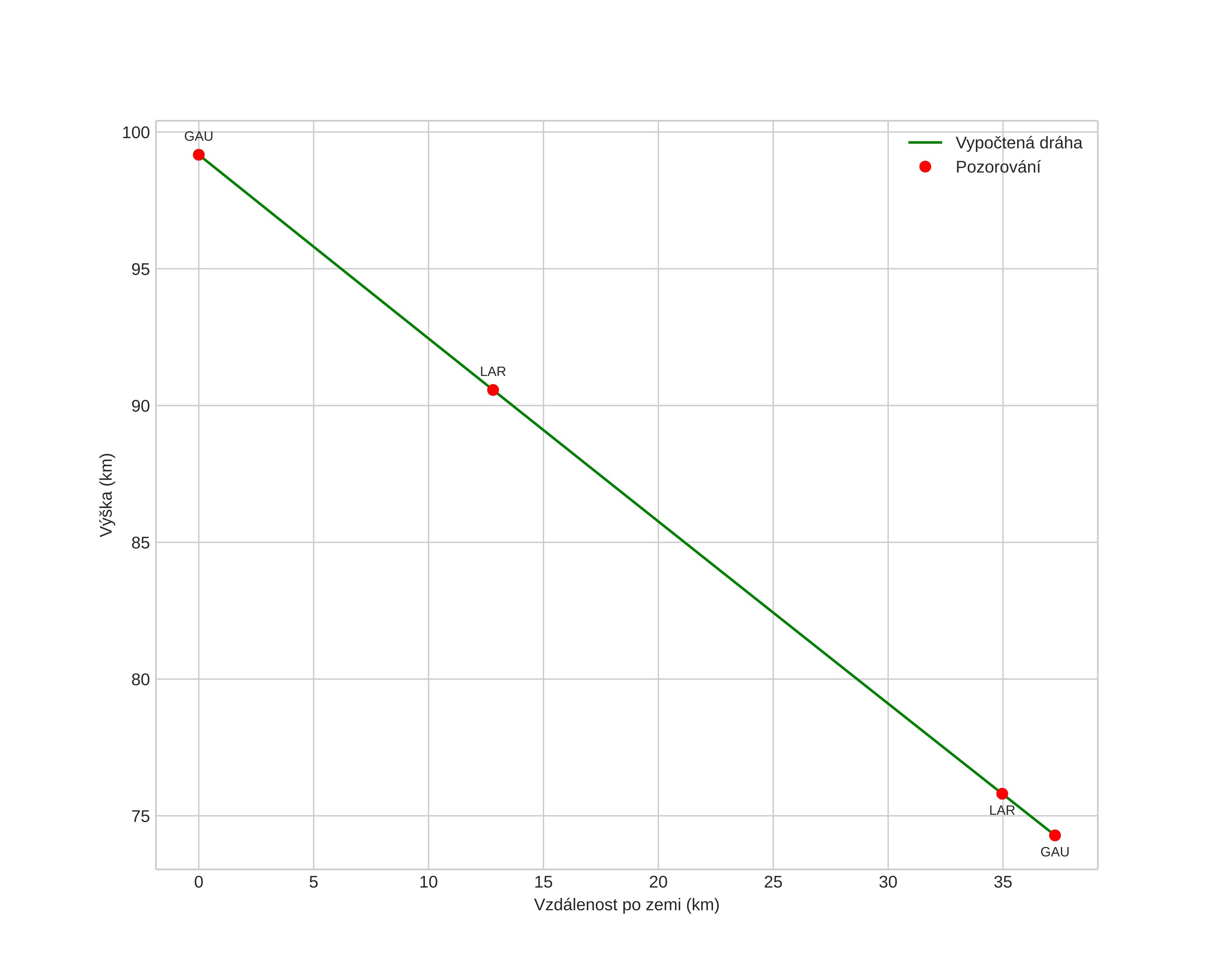
height profile
Atmosférická dráha meteoru:
Počáteční výška: 95,5 km
Konečná výška: 73,6 km
Počáteční poloha: 57,791N 11,133E
Konečná poloha: 57,798N 10,559E
Směr: 271,6°
Sklon: 32,8°
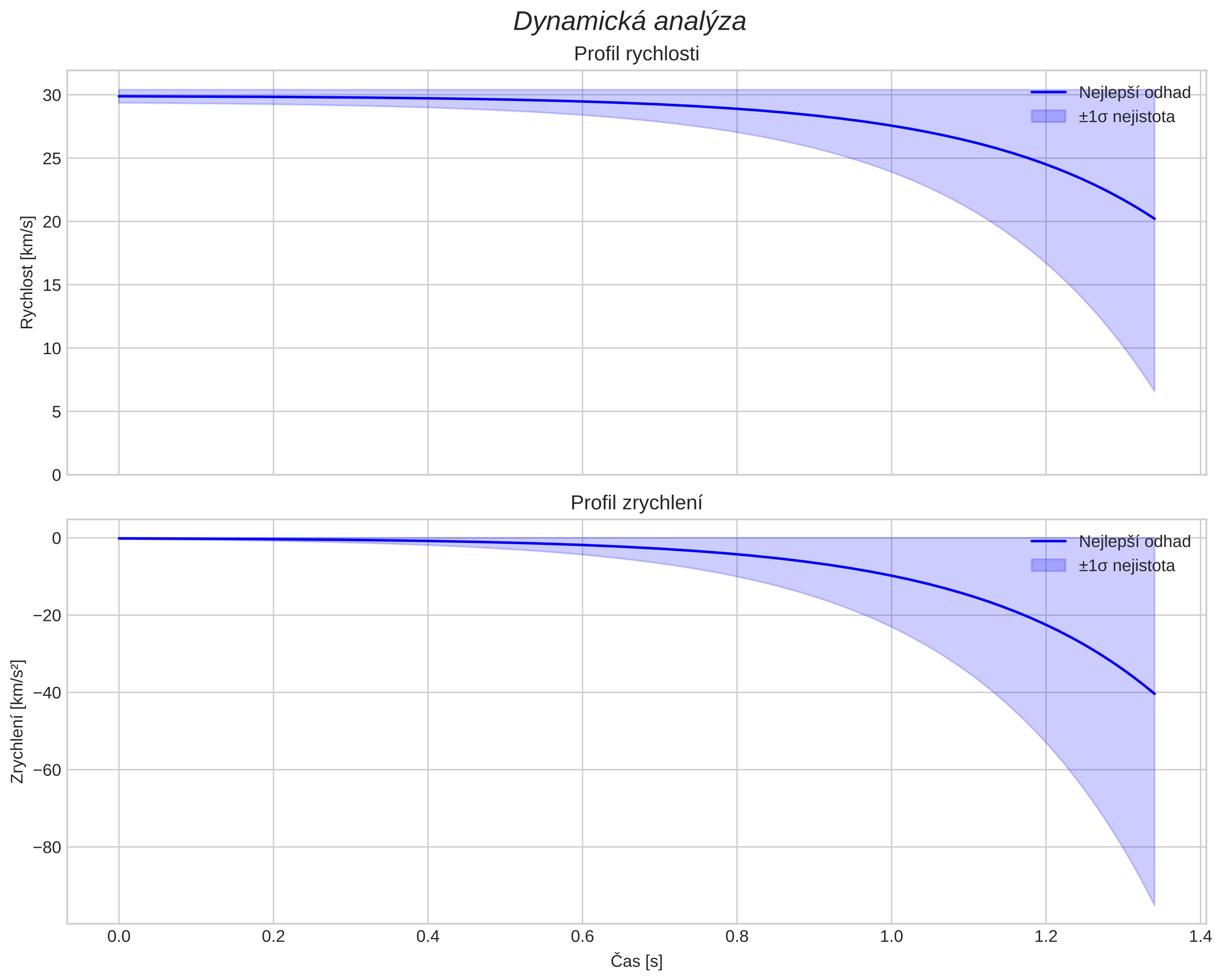
VstupnĂ­ rychlost: 28,2 km/s
Rektascenze radiantu: 04:29 (67,4°)
Deklinace radiantu: 24,4°
MeteorickĂ˝ roj: SevernĂ­ Tauridy
Elementy dráhy meteoroidu:
Vzdálenost v periheliu: 0,372 AU
Excentricita: 0,768
Sklon dráhy: 2,7°
Délka vzestupného uzlu: 236,5°
Argument perihelia: 296,0°
Střední anomálie: 338,0°
Epocha: 2024 NOV 18 19:08:11
orbit plot

NeinteraktivnĂ­ graf | InteraktivnĂ­ graf

position vs time
speed and acceleration