🇳🇴 🇬🇧 🇩🇪 🇨🇿 🇫🇮

Meteor, poloha: Myra 2024-11-18 19:59:23 UTC

Soubor KML  |  InteraktivnĂ­ mapa

Mapa zobrazuje dráhy meteoru. Světlejší čáry ukazují směry od pozorovacích stanic při objevení se meteoru a tmavší čáry, kde byl naposledy viděn. Modrá šipka značí viditelnou dráhu meteoru.

static map
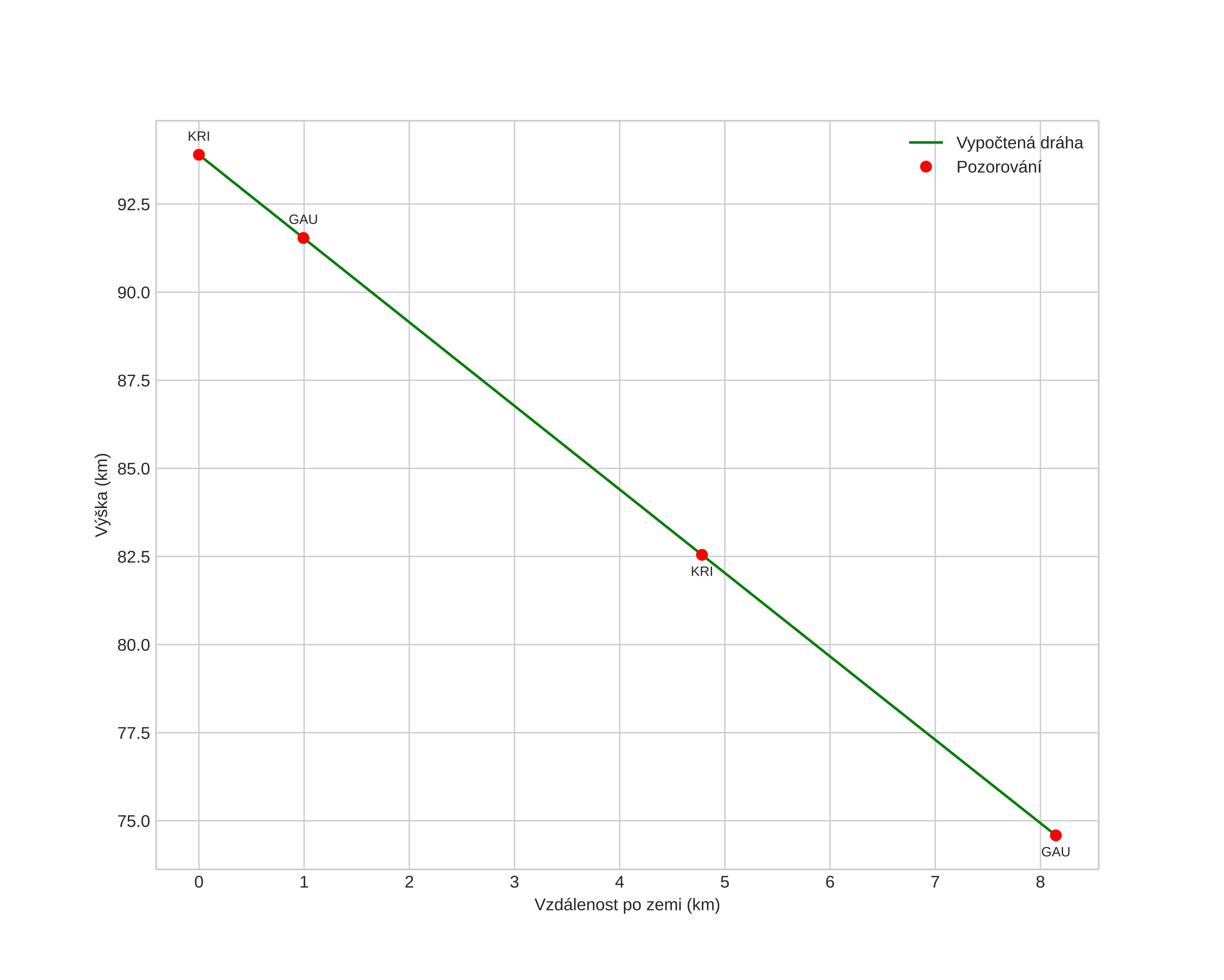
height profile
Atmosférická dráha meteoru:
Počáteční výška: 115,2 km
Konečná výška: 64,9 km
Počáteční poloha: 58,873N 8,960E
Konečná poloha: 58,923N 8,756E
Směr: 295,8°
Sklon: 75,5°
VstupnĂ­ rychlost: 20,7 km/s
Rektascenze radiantu: 01:51 (27,8°)
Deklinace radiantu: 49,7°
MeteorickĂ˝ roj: sporadickĂ˝
Elementy dráhy meteoroidu:
Vzdálenost v periheliu: 0,798 AU
Excentricita: 0,635
Sklon dráhy: 17,1°
Délka vzestupného uzlu: 236,6°
Argument perihelia: 239,7°
Střední anomálie: 348,0°
Epocha: 2024 NOV 18 19:59:23
orbit plot

NeinteraktivnĂ­ graf | InteraktivnĂ­ graf

position vs time
speed and acceleration