🇳🇴 🇬🇧 🇩🇪 🇨🇿 🇫🇮

Meteor, poloha: Florø 2024-11-18 22:04:32 UTC

Soubor KML  |  InteraktivnĂ­ mapa

Mapa zobrazuje dráhy meteoru. Světlejší čáry ukazují směry od pozorovacích stanic při objevení se meteoru a tmavší čáry, kde byl naposledy viděn. Modrá šipka značí viditelnou dráhu meteoru.

static map
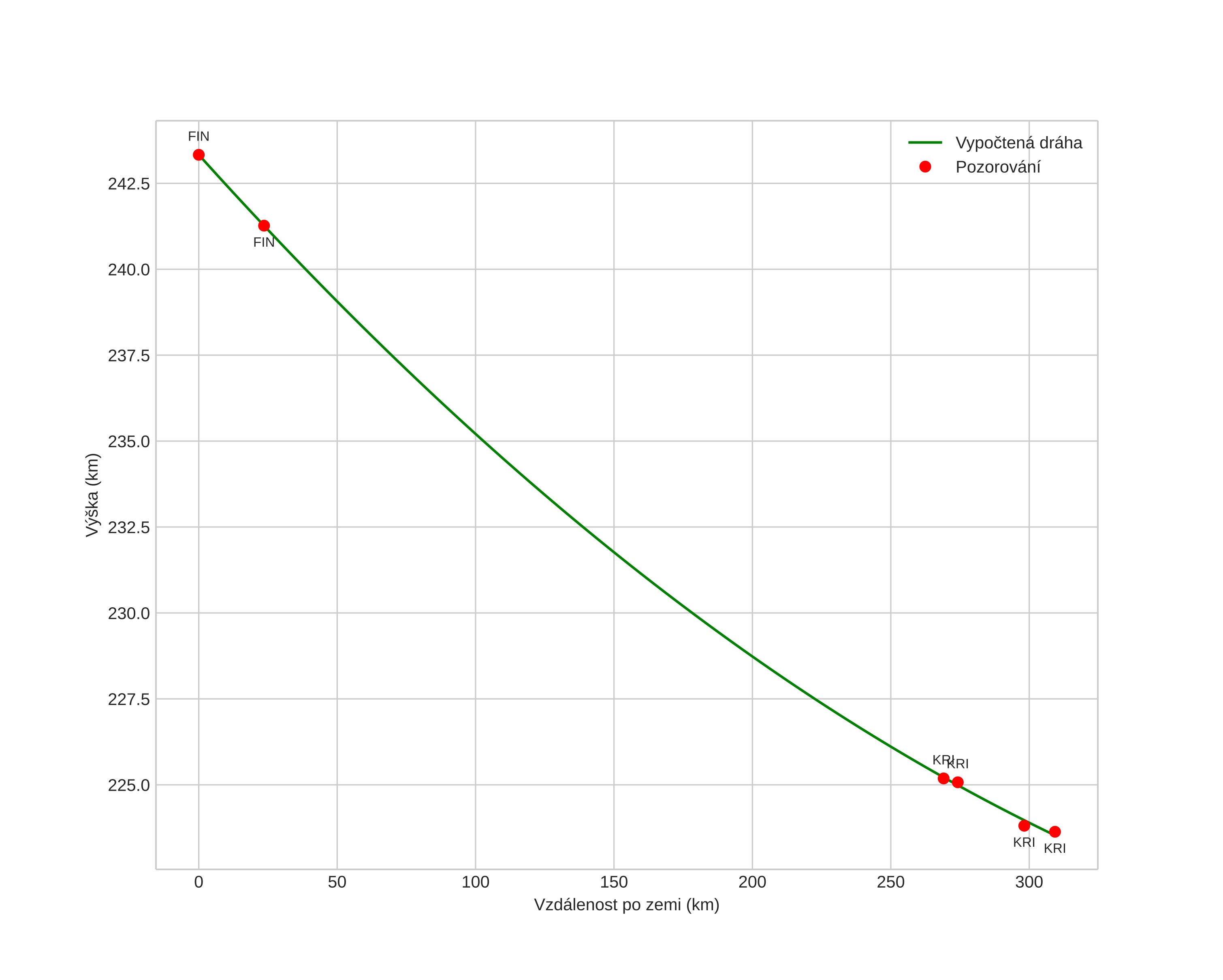
height profile
Atmosférická dráha meteoru:
Počáteční výška: 243,5 km
Konečná výška: 223,4 km
Počáteční poloha: 60,966N 7,461E
Konečná poloha: 62,325N 2,359E
Směr: 301,5°
Sklon: 3,7°
VstupnĂ­ rychlost: 91,0 km/s
Rektascenze radiantu: 06:27 (96,9°)
Deklinace radiantu: -11,7°
MeteorickĂ˝ roj: sporadickĂ˝
Elementy dráhy meteoroidu:
Vzdálenost v periheliu: 0,646 AU
Excentricita: 4,152
Sklon dráhy: 110,1°
Délka vzestupného uzlu: 56,7°
Argument perihelia: 55,2°
Střední anomálie: -184,0°
Epocha: 2024 NOV 18 22:04:32
orbit plot

NeinteraktivnĂ­ graf | InteraktivnĂ­ graf

position vs time
speed and acceleration