🇳🇴 🇬🇧 🇩🇪 🇨🇿 🇫🇮

Meteor, poloha: Kragerø 2024-11-18 22:34:05 UTC

Soubor KML  |  InteraktivnĂ­ mapa

Mapa zobrazuje dráhy meteoru. Světlejší čáry ukazují směry od pozorovacích stanic při objevení se meteoru a tmavší čáry, kde byl naposledy viděn. Modrá šipka značí viditelnou dráhu meteoru.

static map
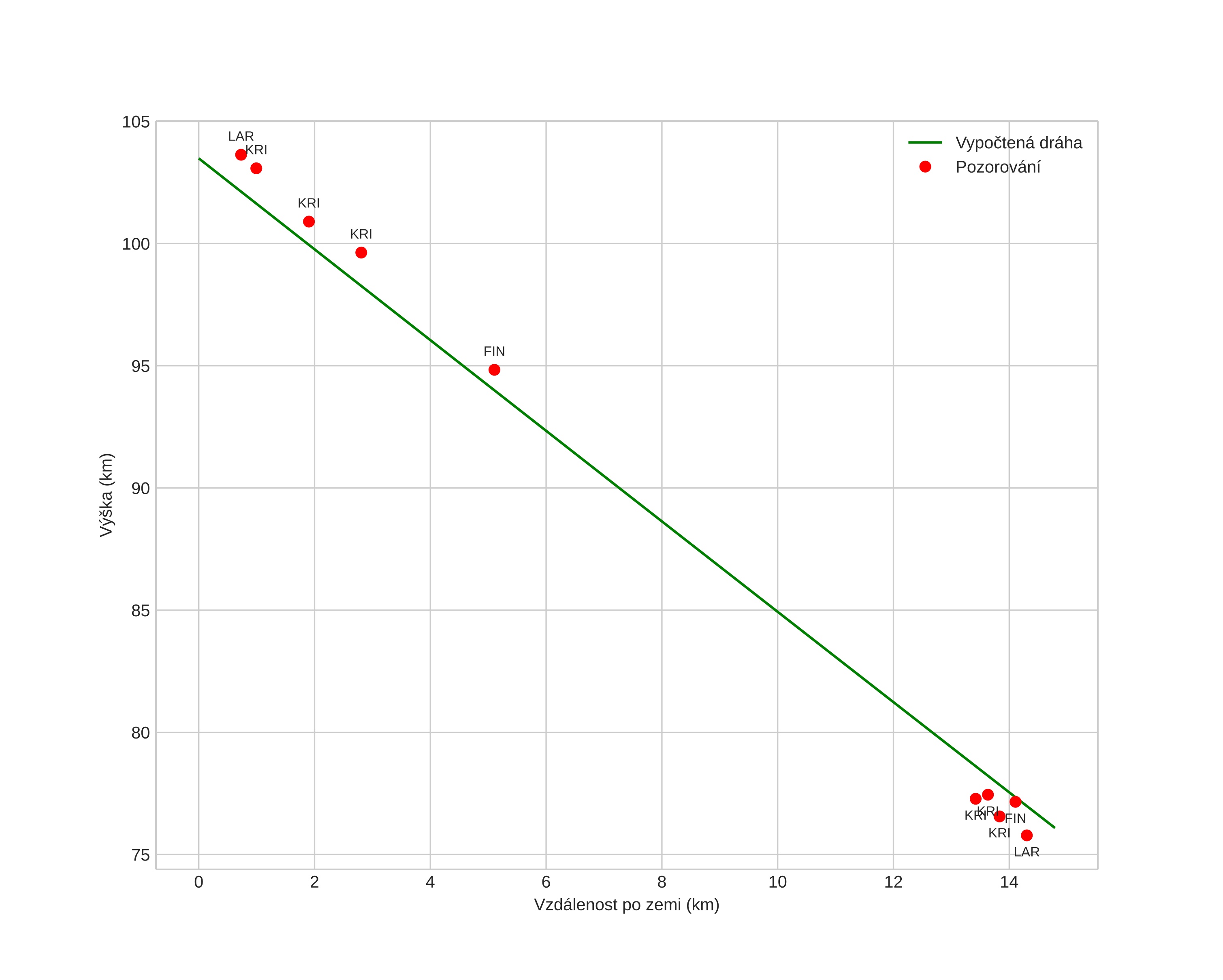
height profile
Atmosférická dráha meteoru:
Počáteční výška: 104,5 km
Konečná výška: 75,8 km
Počáteční poloha: 58,975N 9,531E
Konečná poloha: 58,843N 9,440E
Směr: 199,7°
Sklon: 61,6°
VstupnĂ­ rychlost: 43,5 km/s
Rektascenze radiantu: 07:33 (113,4°)
Deklinace radiantu: 80,3°
MeteorickĂ˝ roj: sporadickĂ˝
Elementy dráhy meteoroidu:
Vzdálenost v periheliu: 0,819 AU
Excentricita: 1,004
Sklon dráhy: 66,4°
Délka vzestupného uzlu: 236,7°
Argument perihelia: 228,8°
Střední anomálie: -0,0°
Epocha: 2024 NOV 18 22:34:05
orbit plot

NeinteraktivnĂ­ graf | InteraktivnĂ­ graf

position vs time
speed and acceleration