🇳🇴 🇬🇧 🇩🇪 🇨🇿 🇫🇮

Meteor, poloha: Sykkylven 2024-11-18 23:55:45 UTC

Soubor KML  |  InteraktivnĂ­ mapa

Mapa zobrazuje dráhy meteoru. Světlejší čáry ukazují směry od pozorovacích stanic při objevení se meteoru a tmavší čáry, kde byl naposledy viděn. Modrá šipka značí viditelnou dráhu meteoru.

static map
height profile
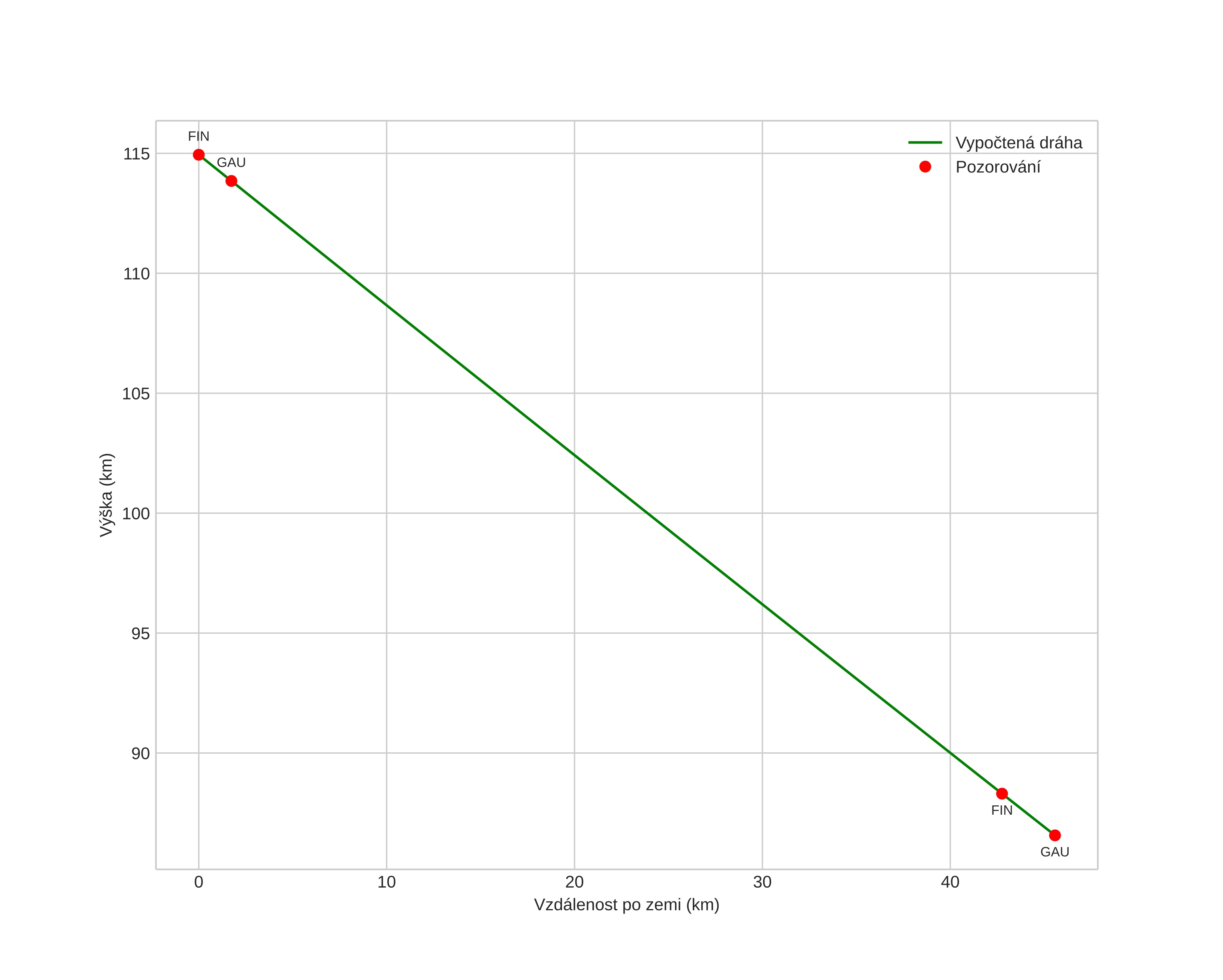
Atmosférická dráha meteoru:
Počáteční výška: 117,1 km
Konečná výška: 86,5 km
Počáteční poloha: 62,311N 7,573E
Konečná poloha: 62,216N 6,638E
Směr: 258,1°
Sklon: 31,7°
VstupnĂ­ rychlost: 60,6 km/s
Rektascenze radiantu: 09:54 (148,7°)
Deklinace radiantu: 32,9°
MeteorickĂ˝ roj: sporadickĂ˝
Elementy dráhy meteoroidu:
Vzdálenost v periheliu: 0,863 AU
Excentricita: 0,307
Sklon dráhy: 143,0°
Délka vzestupného uzlu: 236,8°
Argument perihelia: 242,5°
Střední anomálie: 325,3°
Epocha: 2024 NOV 18 23:55:45
orbit plot

NeinteraktivnĂ­ graf | InteraktivnĂ­ graf

position vs time
speed and acceleration