🇳🇴 🇬🇧 🇩🇪 🇨🇿 🇫🇮

Meteor, poloha: Vang 2024-11-19 00:03:43 UTC

Soubor KML  |  InteraktivnĂ­ mapa

Mapa zobrazuje dráhy meteoru. Světlejší čáry ukazují směry od pozorovacích stanic při objevení se meteoru a tmavší čáry, kde byl naposledy viděn. Modrá šipka značí viditelnou dráhu meteoru.

static map
height profile
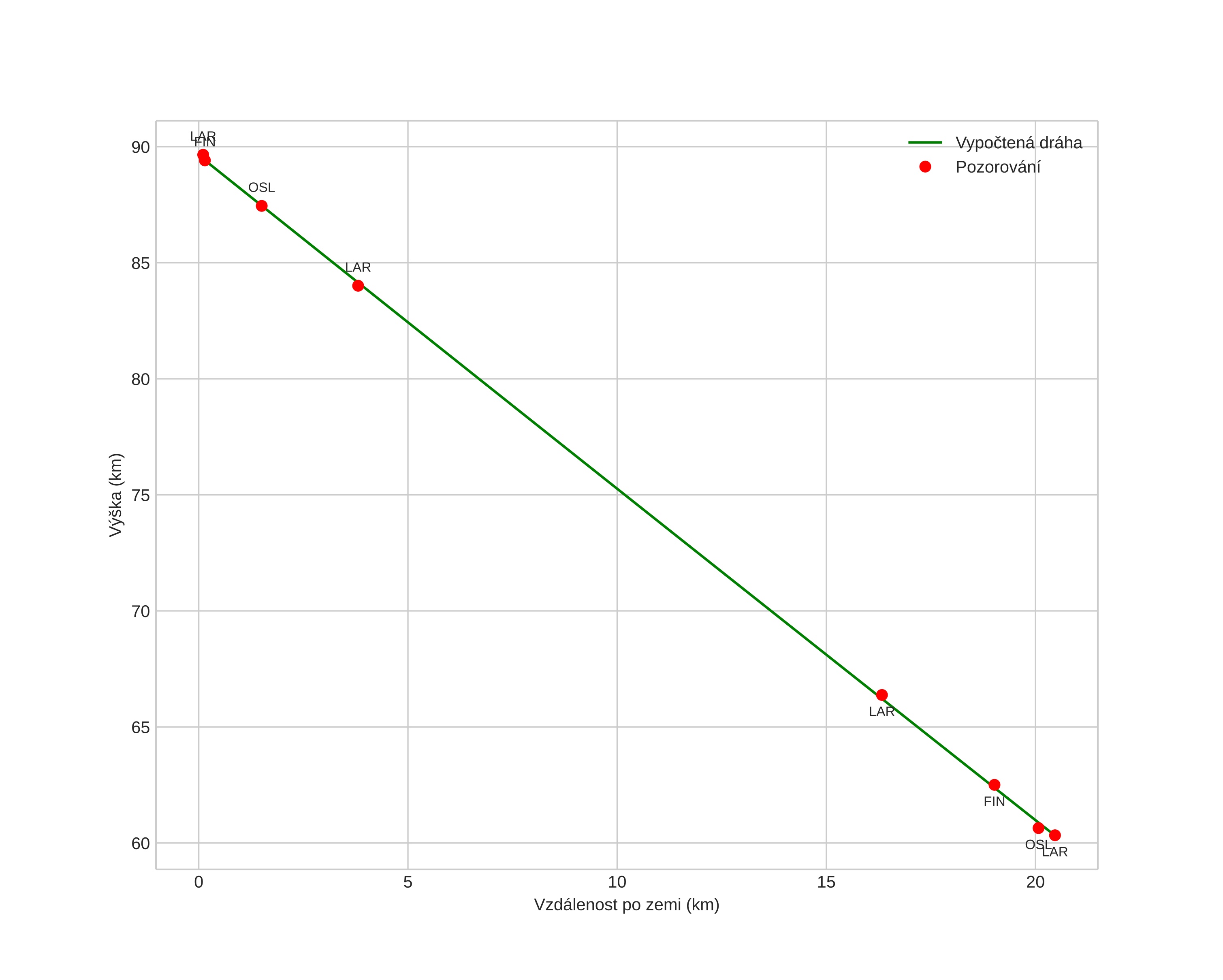
Atmosférická dráha meteoru:
Počáteční výška: 89,6 km
Konečná výška: 60,3 km
Počáteční poloha: 61,082N 8,485E
Konečná poloha: 61,266N 8,523E
Směr: 5,6°
Sklon: 55,0°
VstupnĂ­ rychlost: 27,7 km/s
Rektascenze radiantu: 04:13 (63,3°)
Deklinace radiantu: 24,4°
MeteorickĂ˝ roj: SevernĂ­ Tauridy
Elementy dráhy meteoroidu:
Vzdálenost v periheliu: 0,425 AU
Excentricita: 0,779
Sklon dráhy: 3,1°
Délka vzestupného uzlu: 236,7°
Argument perihelia: 287,7°
Střední anomálie: 343,4°
Epocha: 2024 NOV 19 00:03:43
orbit plot

NeinteraktivnĂ­ graf | InteraktivnĂ­ graf

position vs time
speed and acceleration