🇳🇴 🇬🇧 🇩🇪 🇨🇿 🇫🇮

Meteor, poloha: Abborrberget 2024-11-19 05:12:30 UTC

Soubor KML  |  InteraktivnĂ­ mapa

Mapa zobrazuje dráhy meteoru. Světlejší čáry ukazují směry od pozorovacích stanic při objevení se meteoru a tmavší čáry, kde byl naposledy viděn. Modrá šipka značí viditelnou dráhu meteoru.

static map
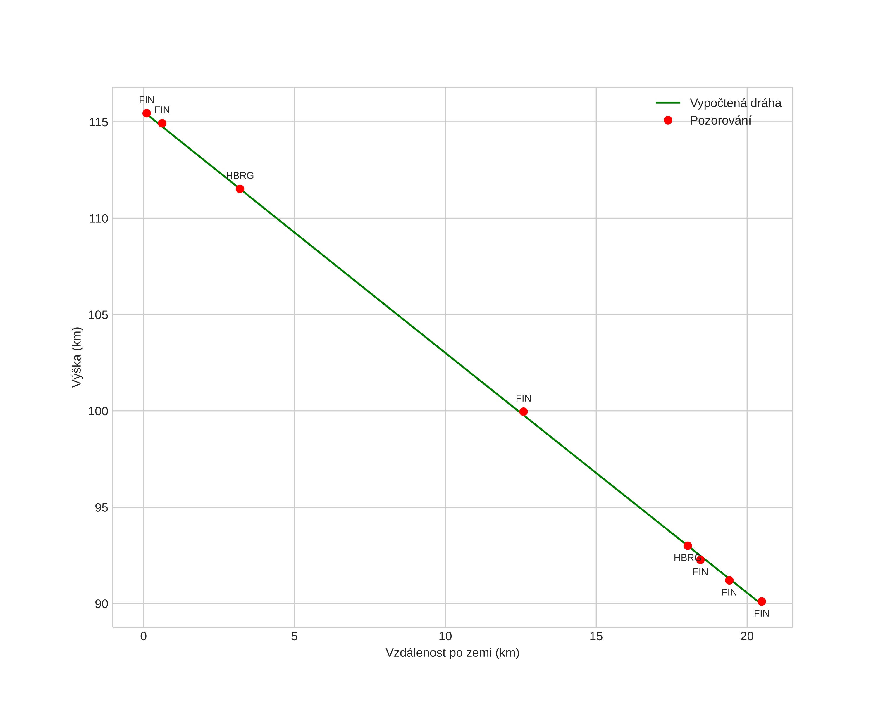
height profile
Atmosférická dráha meteoru:
Počáteční výška: 115,7 km
Konečná výška: 90,7 km
Počáteční poloha: 60,149N 14,752E
Konečná poloha: 60,326N 14,714E
Směr: 353,9°
Sklon: 51,6°
VstupnĂ­ rychlost: 69,1 km/s
Rektascenze radiantu: 10:20 (155,1°)
Deklinace radiantu: 21,7°
MeteorickĂ˝ roj: Leonidy
Elementy dráhy meteoroidu:
Vzdálenost v periheliu: 0,985 AU
Excentricita: 0,696
Sklon dráhy: 161,3°
Délka vzestupného uzlu: 237,0°
Argument perihelia: 173,0°
Střední anomálie: 0,9°
Epocha: 2024 NOV 19 05:12:30
orbit plot

NeinteraktivnĂ­ graf | InteraktivnĂ­ graf

position vs time
speed and acceleration