🇳🇴 🇬🇧 🇩🇪 🇨🇿 🇫🇮

Meteor, poloha: Risør 2024-11-20 16:25:48 UTC

Soubor KML  |  InteraktivnĂ­ mapa

Mapa zobrazuje dráhy meteoru. Světlejší čáry ukazují směry od pozorovacích stanic při objevení se meteoru a tmavší čáry, kde byl naposledy viděn. Modrá šipka značí viditelnou dráhu meteoru.

static map
height profile
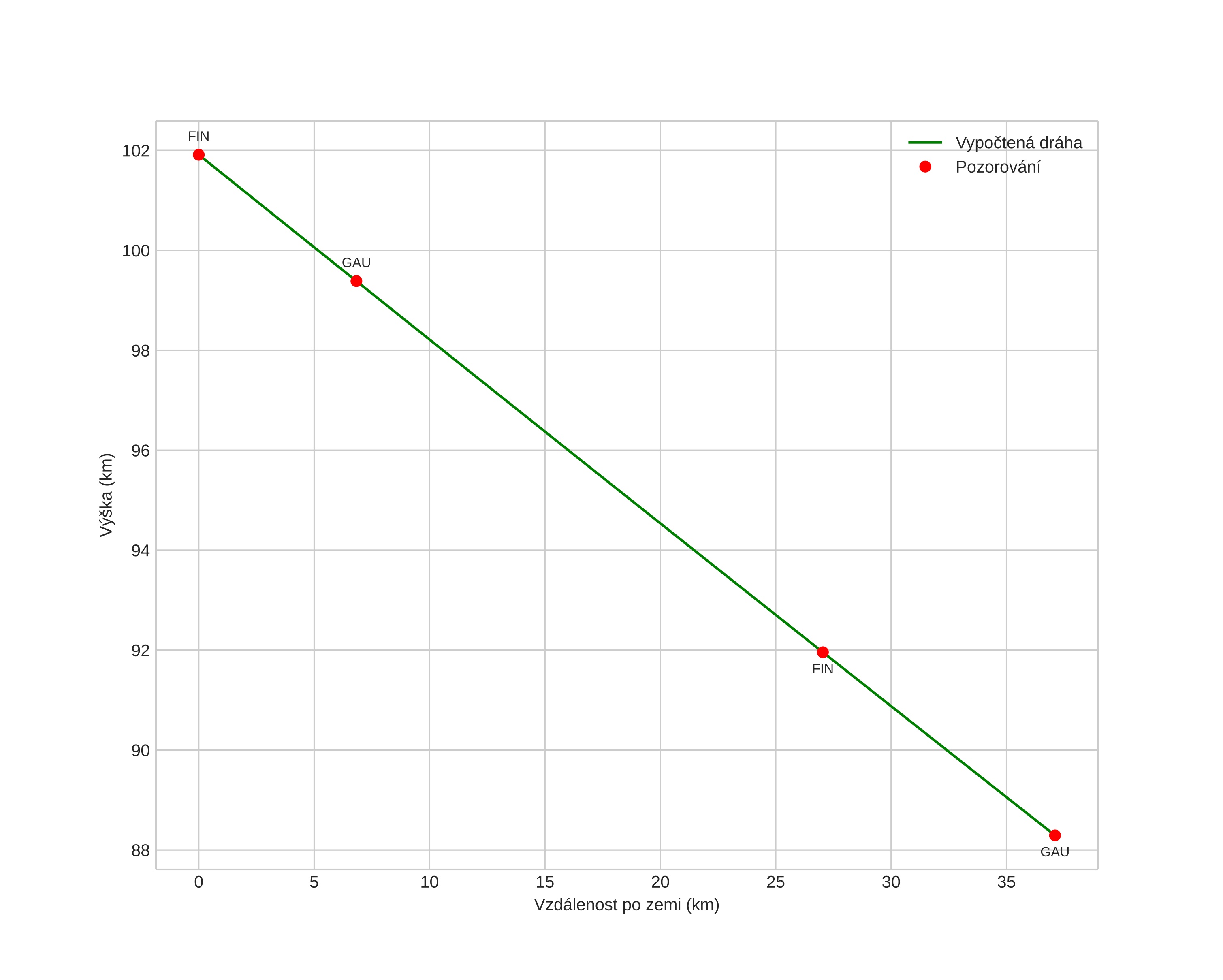
Atmosférická dráha meteoru:
Počáteční výška: 102,1 km
Konečná výška: 88,4 km
Počáteční poloha: 58,822N 9,438E
Konečná poloha: 58,474N 9,367E
Směr: 186,1°
Sklon: 19,4°
VstupnĂ­ rychlost: 57,6 km/s
Rektascenze radiantu: 08:28 (127,0°)
Deklinace radiantu: 49,7°
MeteorickĂ˝ roj: sporadickĂ˝
Elementy dráhy meteoroidu:
Vzdálenost v periheliu: 0,532 AU
Excentricita: 0,883
Sklon dráhy: 112,5°
Délka vzestupného uzlu: 238,5°
Argument perihelia: 269,0°
Střední anomálie: 355,9°
Epocha: 2024 NOV 20 16:25:48
orbit plot

NeinteraktivnĂ­ graf | InteraktivnĂ­ graf

position vs time
speed and acceleration