🇳🇴 🇬🇧 🇩🇪 🇨🇿 🇫🇮

Meteor, poloha: Fagernes 2024-11-20 17:26:07 UTC

Soubor KML  |  InteraktivnĂ­ mapa

Mapa zobrazuje dráhy meteoru. Světlejší čáry ukazují směry od pozorovacích stanic při objevení se meteoru a tmavší čáry, kde byl naposledy viděn. Modrá šipka značí viditelnou dráhu meteoru.

static map
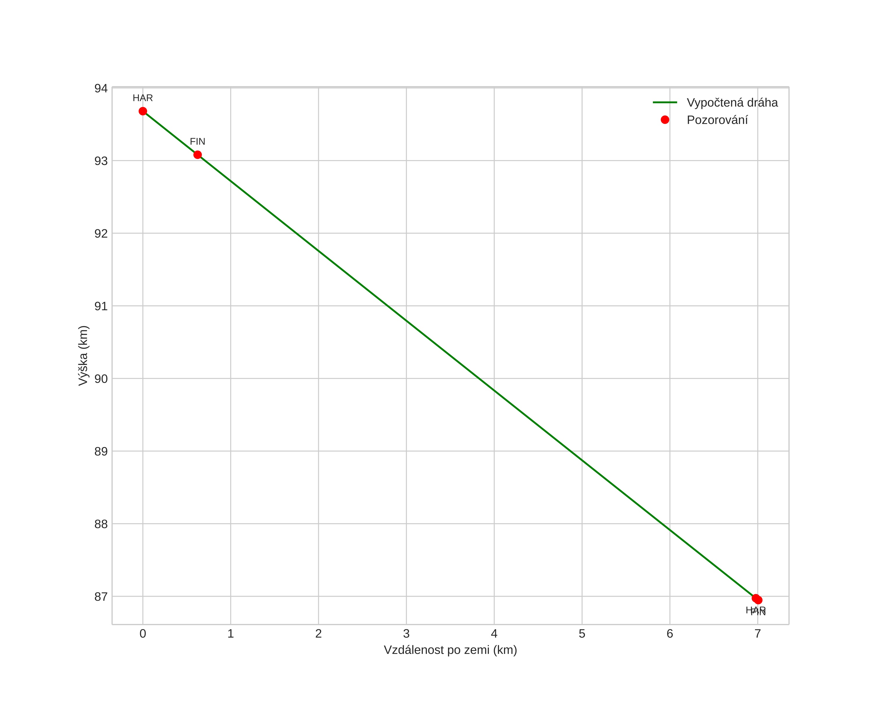
height profile
Atmosférická dráha meteoru:
Počáteční výška: 96,6 km
Konečná výška: 86,3 km
Počáteční poloha: 60,959N 9,451E
Konečná poloha: 60,933N 9,268E
Směr: 253,9°
Sklon: 45,0°
VstupnĂ­ rychlost: 32,2 km/s
Rektascenze radiantu: 03:10 (47,6°)
Deklinace radiantu: 44,6°
MeteorickĂ˝ roj: sporadickĂ˝
Elementy dráhy meteoroidu:
Vzdálenost v periheliu: 0,594 AU
Excentricita: 1,040
Sklon dráhy: 23,2°
Délka vzestupného uzlu: 238,5°
Argument perihelia: 257,4°
Střední anomálie: -0,6°
Epocha: 2024 NOV 20 17:26:07
orbit plot

NeinteraktivnĂ­ graf | InteraktivnĂ­ graf

position vs time
speed and acceleration

Harestua (HAR) cam6


gnomonic
Videa
• Gnomonická
• Gnomonická se souřadnicemi
• Původní
• Původní se souřadnicemi
Obrázky
• Gnomonická
• Gnomonická se souřadnicemi
• Gnomonická s popisky
• Původní
• Původní se souřadnicemi
Textové soubory
• Detekce
• Pozorování
• Souřadnice
• Protokol
Jasnost